mp-568379/KInSnSe4/anharm

Harmonic properties

../../_images/fig_bandos_pr7275.png

(a) Phonon dispersion with participation ratio and DOS

../../_images/fig_thermo7275.png

(b) Thermodynamic properties

Grüneisen parameters

../../_images/fig_gru_all3062.png

(a) Grüneisen parameters

../../_images/fig_gruneisen3062.png

(b) Phonon dispersion with Grüneisen parameters

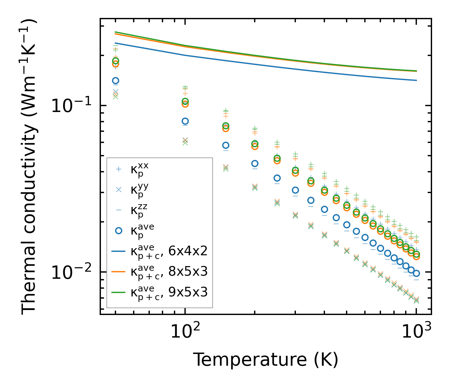
Thermal conductivity

3-phonon (LASSO) — q-mesh: 9x5x3, supercell: 2x1x1

../../_images/fig_kappa5800.png

(a) Temperature-dependent lattice thermal conductivity

../../_images/fig_kappa_vs_grain_size3105.png

(b) Peierls lattice thermal conductivity w.r.t grain size

Phonon lifetime and scattering rates

../../_images/fig_lifetime3037.png

(a) Phonon lifetime due to phonon-phonon scattering

../../_images/fig_scat_rates3036.png

(b) Phonon scattering rates

Cumulative and spectral thermal conductivity

../../_images/fig_cumu_frequency3037.png

(a) Spectral and cumulative thermal conductivity w.r.t frequency

../../_images/fig_cumu_mfp3036.png

(b) Spectral and cumulative thermal conductivity w.r.t MFP

Force constants

../../_images/fig_fc27041.png

(a) Force constants w.r.t atomic distance

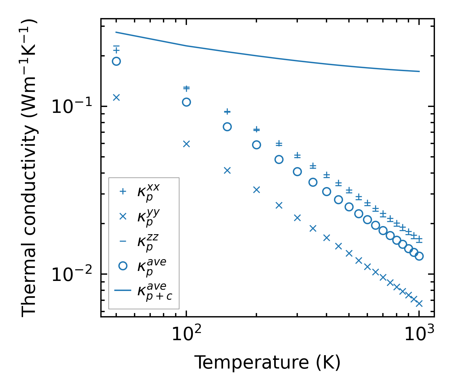
Summary

../../_images/fig_kappa5801.png

(a) Temperature-dependent lattice thermal conductivity

../../_images/fig_times12916.png

(b) Computation time