mp-568937/Cs3Y2Br9/anharm

Harmonic properties

../../_images/fig_bandos_pr6972.png

(a) Phonon dispersion with participation ratio and DOS

../../_images/fig_thermo6972.png

(b) Thermodynamic properties

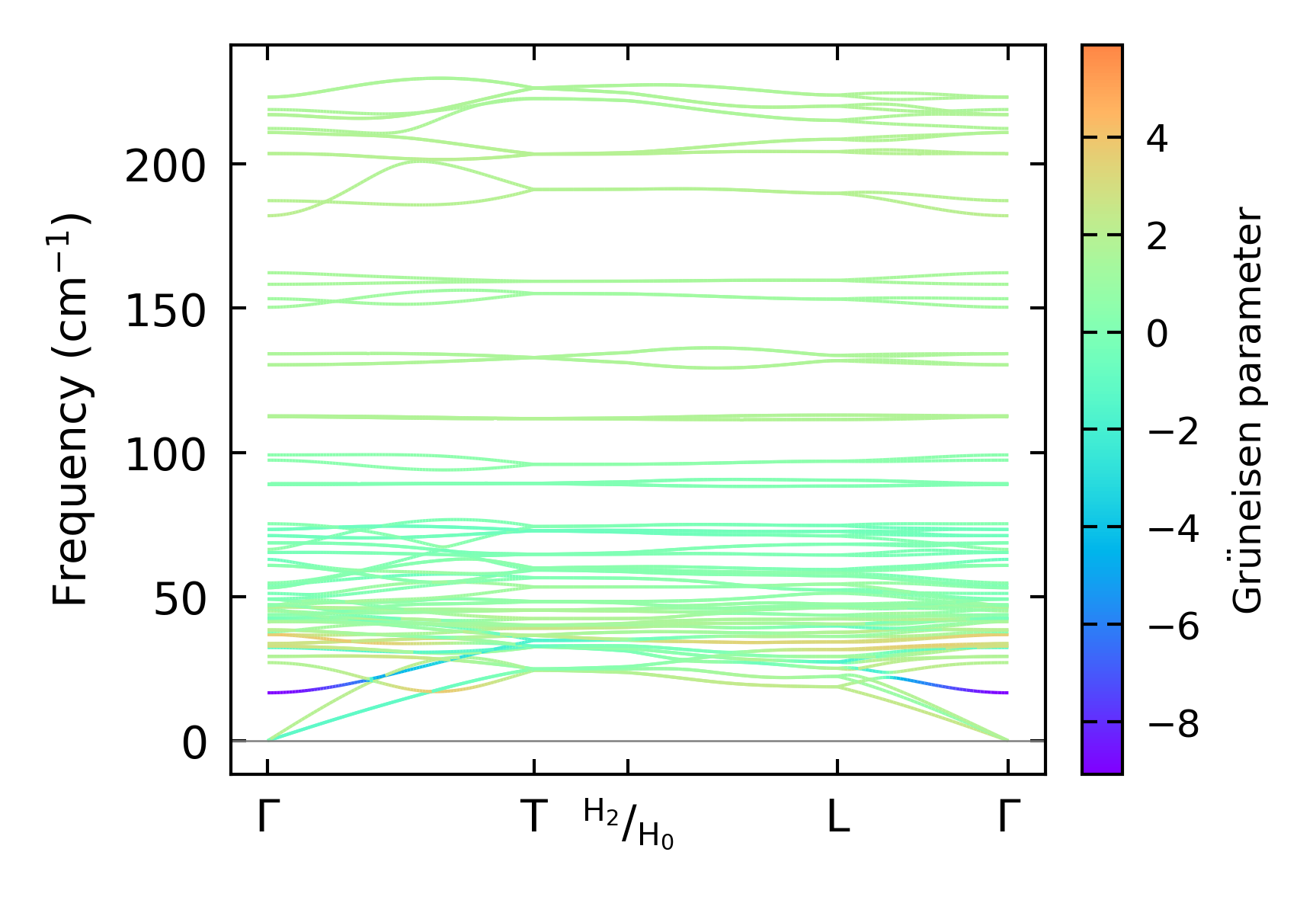
Grüneisen parameters

../../_images/fig_gru_all2891.png

(a) Grüneisen parameters

../../_images/fig_gruneisen2891.png

(b) Phonon dispersion with Grüneisen parameters

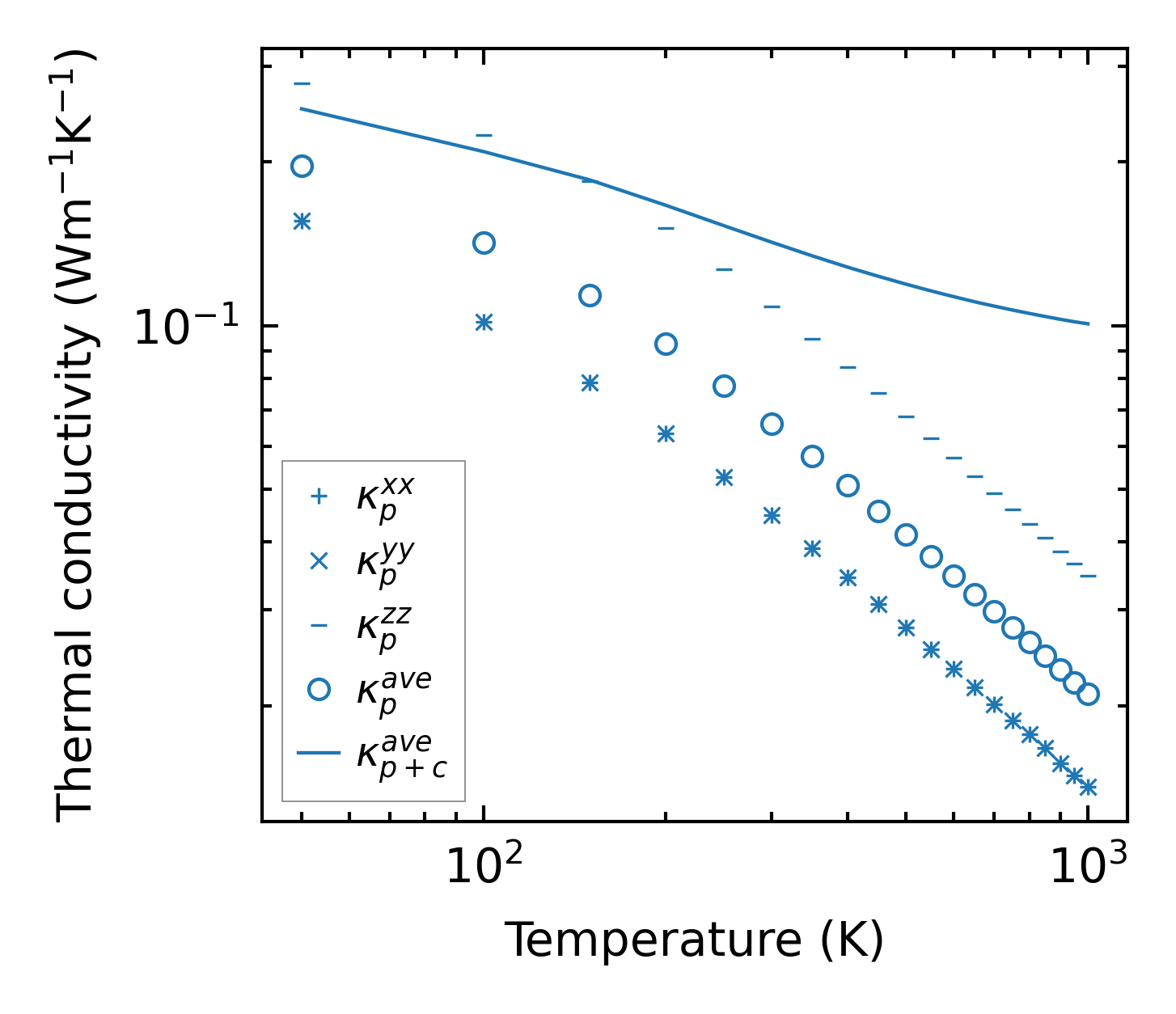
Thermal conductivity

3-phonon (LASSO) — q-mesh: 7x7x7, supercell: 1x1x1

../../_images/fig_kappa5485.png

(a) Temperature-dependent lattice thermal conductivity

../../_images/fig_kappa_vs_grain_size2933.png

(b) Peierls lattice thermal conductivity w.r.t grain size

Phonon lifetime and scattering rates

../../_images/fig_lifetime2867.png

(a) Phonon lifetime due to phonon-phonon scattering

../../_images/fig_scat_rates2866.png

(b) Phonon scattering rates

Cumulative and spectral thermal conductivity

../../_images/fig_cumu_frequency2867.png

(a) Spectral and cumulative thermal conductivity w.r.t frequency

../../_images/fig_cumu_mfp2866.png

(b) Spectral and cumulative thermal conductivity w.r.t MFP

Force constants

../../_images/fig_fc26750.png

(a) Force constants w.r.t atomic distance

Summary

../../_images/fig_kappa5486.png

(a) Temperature-dependent lattice thermal conductivity

../../_images/fig_times12479.png

(b) Computation time