mp-568670-2/Cs2NaTbCl6/harm

Equation of state

../../_images/fig_bm3714.png

(a) Equation of state

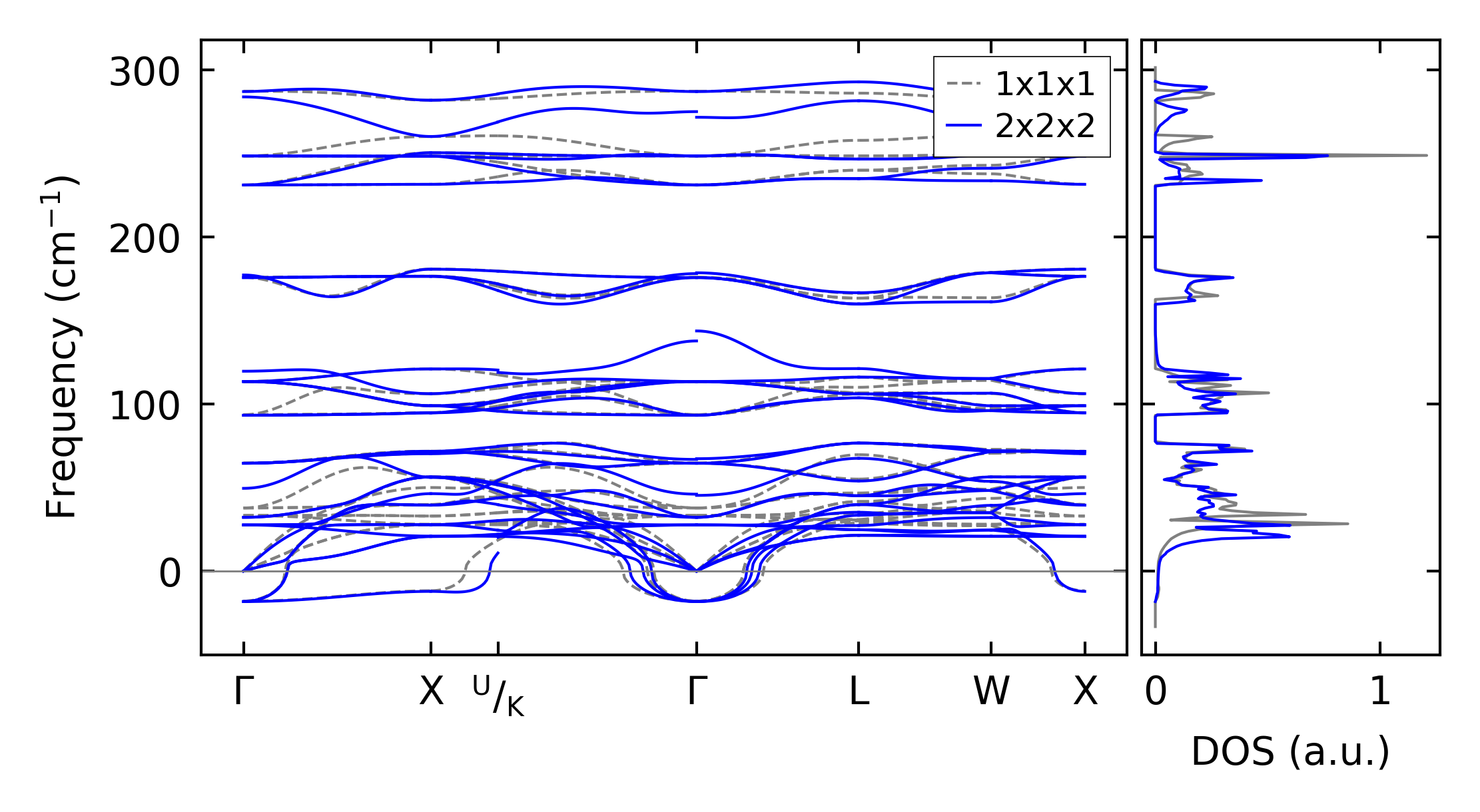
Harmonic properties

../../_images/fig_bandos_pr6945.png

(a) Phonon dispersion with participation ratio and DOS

../../_images/fig_bandos9934.png

(b) Phonon dispersion and DOS

../../_images/fig_thermo6945.png

(c) Thermodynamic properties

Force constants

../../_images/fig_fc26723.png

(a) Force constants w.r.t atomic distance

Summary

../../_images/fig_times12445.png

(a) Computation time