mp-568556-2/Mg2B24C/anharm

Equation of state

../../_images/fig_bm3861.png

(a) Equation of state

Harmonic properties

../../_images/fig_bandos_pr7298.png

(a) Phonon dispersion with participation ratio and DOS

../../_images/fig_thermo7298.png

(b) Thermodynamic properties

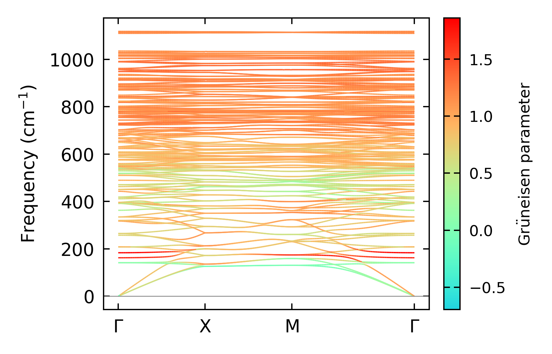
Grüneisen parameters

../../_images/fig_gru_all3079.png

(a) Grüneisen parameters

../../_images/fig_gruneisen3079.png

(b) Phonon dispersion with Grüneisen parameters

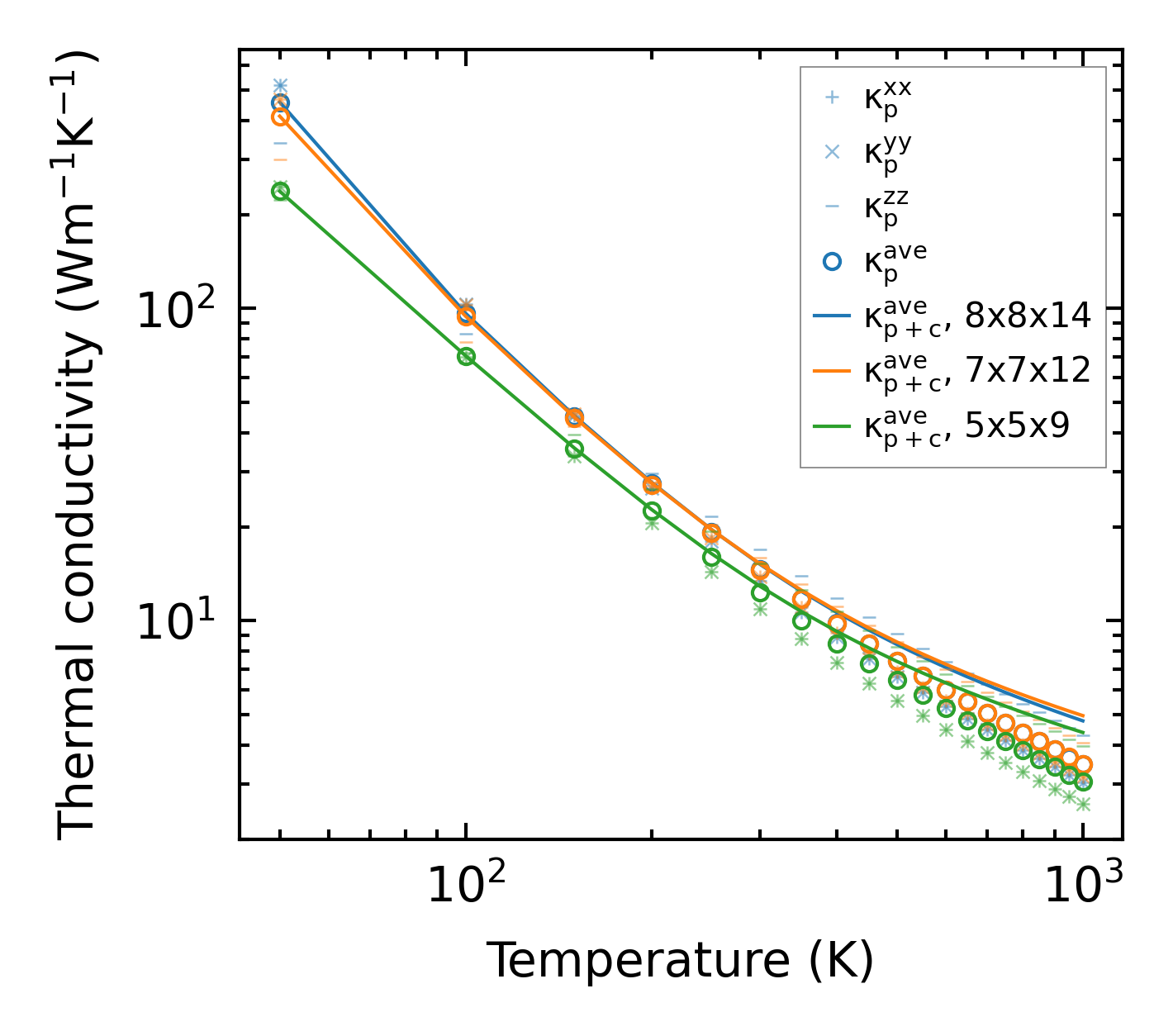
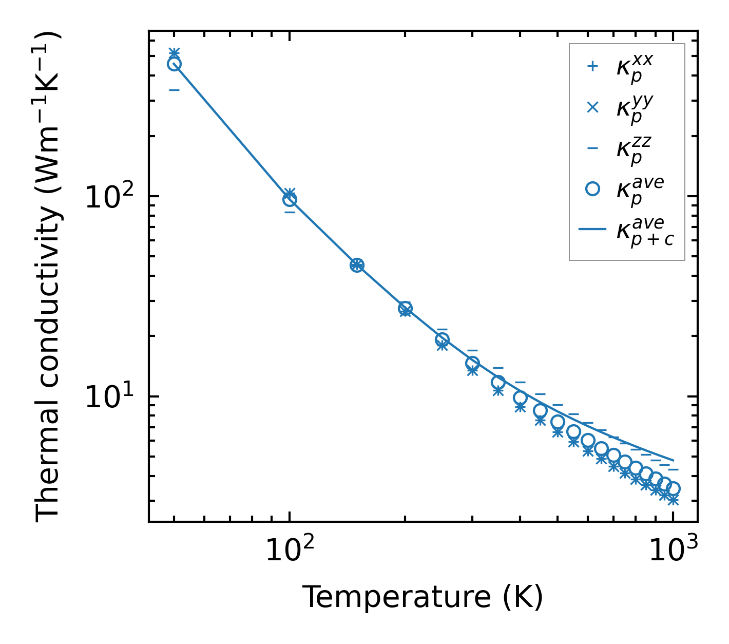
Thermal conductivity

3-phonon (LASSO) — q-mesh: 8x8x14, supercell: 1x1x2

../../_images/fig_kappa5832.png

(a) Temperature-dependent lattice thermal conductivity

../../_images/fig_kappa_vs_grain_size3121.png

(b) Peierls lattice thermal conductivity w.r.t grain size

Phonon lifetime and scattering rates

../../_images/fig_lifetime3053.png

(a) Phonon lifetime due to phonon-phonon scattering

../../_images/fig_scat_rates3052.png

(b) Phonon scattering rates

Cumulative and spectral thermal conductivity

../../_images/fig_cumu_frequency3053.png

(a) Spectral and cumulative thermal conductivity w.r.t frequency

../../_images/fig_cumu_mfp3052.png

(b) Spectral and cumulative thermal conductivity w.r.t MFP

Force constants

../../_images/fig_fc27063.png

(a) Force constants w.r.t atomic distance

Summary

../../_images/fig_kappa5833.png

(a) Temperature-dependent lattice thermal conductivity

../../_images/fig_times12946.png

(b) Computation time