ver2026.03.28
data_1-1000
data_1001-2000
data_2001-3000
data_3001-4000
data_4001-5000
data_5001-6000
data_6001-7000
data_7001-8000
data_8001-9000
data_9001-10000
data_10001-11000
data_11001-12000
data_12001-13000
data_13001-14000
data_14001-15000
data_15001-16000
data_16001-17000
data_17001-18000
data_18001-19000
data_19001-20000
data_20001-21000
data_21001-22000
data_22001-23000
data_23001-24000
data_24001-25000
data_25001-26000
data_26001-27000
data_27001-28000
data_28001-29000
data_29001-30000
data_30001-31000
data_31001-32000
data_32001-33000
data_33001-34000
data_34001-35000
data_35001-36000
data_36001-37000
data_37001-38000
data_38001-39000
data_39001-40000
data_40001-41000
data_41001-42000
data_42001-43000
data_43001-44000
data_504001-505000
data_505001-506000
data_510001-511000
data_530001-531000
data_531001-532000
data_532001-533000
data_534001-535000
data_540001-541000
data_541001-542000
data_542001-543000
data_543001-544000
data_545001-546000
data_546001-547000
data_547001-548000
data_548001-549000
data_549001-550000
data_550001-551000
data_551001-552000
data_552001-553000
data_553001-554000
data_554001-555000
mp-554001/Nd3S3N/anharm
mp-554002/AlH3O3/harm
mp-554003/Sr4LiB3O9/harm
mp-554004/ZnS/anharm
mp-554006/SrCaSiO4/harm
mp-554006-2/SrCaSiO4/harm
mp-554015/CsKCl2O8/harm
mp-554015-2/CsKCl2O8/harm
mp-554018/Mg3BeAl8O16/harm
mp-554018-2/Mg3BeAl8O16/anharm
mp-554022/Sn2P2O7/harm
mp-554023/Be2BO3F/harm
mp-554023-2/Be2BO3F/anharm
mp-554025/SNF/harm
mp-554033/Na6Si8O19/harm
mp-554034/KLa2NbO6/anharm
mp-554034-2/KLa2NbO6/harm
mp-554038/CaTa2O6/harm
mp-554041/Na2Al2B2O7/harm
mp-554041-2/Na2Al2B2O7/harm
mp-554048/NaAgN2O4/harm
mp-554051/H6CNF/harm
mp-554053/SrGaBO4/harm
mp-554053-2/SrGaBO4/harm
mp-554059/Sr2UZnO6/anharm
mp-554059-2/Sr2UZnO6/anharm
mp-554063/SmSeClO3/anharm
mp-554066/Ba3Lu2Zn5O11/anharm
mp-554071/Na8Nb2Cu4S21/harm
mp-554072/K2CO3/harm
mp-554072-2/K2CO3/harm
mp-554076/BaLiBS3/harm
mp-554076-2/BaLiBS3/anharm
mp-554081/Ca2PClO4/anharm
mp-554081-2/Ca2PClO4/anharm
mp-554082/Ho2Hf2O7/harm
mp-554082-2/Ho2Hf2O7/anharm
mp-554083/BaZnAs2O7/harm
mp-554083-2/BaZnAs2O7/anharm
mp-554084/BaBi6P4O20/harm
mp-554089/SiO2/harm
mp-554094/CaMg2S3O12/harm
mp-554094-2/CaMg2S3O12/harm
mp-554097/Sm3CuSiS7/harm
mp-554097-2/Sm3CuSiS7/anharm
mp-554101/LiInMo2O8/harm
mp-554105/CdAg2GeS4/harm
mp-554105-2/CdAg2GeS4/harm
mp-554108/LiReO2F4/harm
mp-554110/CSNO3/harm
mp-554115/ZnS/harm
mp-554115-2/ZnS/harm
mp-554116/BaPb2BrF5/anharm
mp-554120/DyCuS2/anharm
mp-554123/BaMn2O8/harm
mp-554129/Br3NO4F10/harm
mp-554138/Pr2SbO5F/harm
mp-554139/Ba3Ga2Ge4O14/harm
mp-554139-2/Ba3Ga2Ge4O14/anharm
mp-554141/Ca3SiO5/harm
mp-554142/GeTe2O6/harm
mp-554142-2/GeTe2O6/harm
mp-554145/Na3SrPCO7/harm
mp-554146/K14In4O13/harm
mp-554146-2/K14In4O13/harm
mp-554150/Nd3CuGeS7/harm
mp-554150-2/Nd3CuGeS7/anharm
mp-554151/SiO2/harm
mp-554151-2/SiO2/harm
mp-554152/Sr4Al6CrO16/harm
mp-554155/KSbP2O8/harm
mp-554155-2/KSbP2O8/harm
mp-554157/KNaZnP2O7/harm
mp-554157-2/KNaZnP2O7/harm
mp-554159/Li2BeSiO4/harm
mp-554164/KLiZnP2O7/harm
mp-554172/Ba3Zr2S7/harm
mp-554172-2/Ba3Zr2S7/harm
mp-554175/SiO2/harm
mp-554181/VPO5/harm
mp-554183/ZrHg3S2Cl6/harm
mp-554190/CaZr4O9/harm
mp-554191/Na2UO4/anharm
mp-554193/NaGaTe2O6/harm
mp-554193-2/NaGaTe2O6/harm
mp-554199/RbSnIO6/harm
mp-554199-2/RbSnIO6/harm
mp-554203/Li4Ga3Si3ClO12/anharm
mp-554206/Cs2Al2As2O7/harm
mp-554206-2/Cs2Al2As2O7/harm
mp-554207/TaBi4BrO8/harm
mp-554207-2/TaBi4BrO8/harm
mp-554213/DyMoO4F/harm
mp-554216/K3BiP2S8/harm
mp-554218/Ti4P6PbO24/harm
mp-554218-2/Ti4P6PbO24/anharm
mp-554219/UTe3O9/harm
mp-554223/RbScAs2O7/harm
mp-554223-2/RbScAs2O7/harm
mp-554226/Rb2UMo2O10/harm
mp-554229/CsAs3O8/harm
mp-554229-2/CsAs3O8/anharm
mp-554236/Ca5P3ClO12/harm
mp-554236-2/Ca5P3ClO12/harm
mp-554238/CuBiSCl2/harm
mp-554239/NaSbCO2F3/harm
mp-554240/NaCa4B3O9/harm
mp-554240-2/NaCa4B3O9/harm
mp-554242/Ca4Al6WO16/harm
mp-554243/SiO2/harm
mp-554243-2/SiO2/harm
mp-554245/BaPb2IF5/anharm
mp-554249/Bi6Cl3O7F/harm
mp-554249-2/Bi6Cl3O7F/harm
mp-554253/ZnS/harm
mp-554255/Ba3P2S8/harm
mp-554259/SrAgB7O12/harm
mp-554259-2/SrAgB7O12/harm
mp-554263/Ca2BClO3/harm
mp-554263-2/Ca2BClO3/anharm
mp-554264/Ba3Tb2P4S16/anharm
mp-554265/ZrSCl6O/harm
mp-554267/SiO2/harm
mp-554267-2/SiO2/harm
mp-554272/Cu3SbS3/anharm
mp-554272-2/Cu3SbS3/anharm
mp-554273/AlPO4/harm
mp-554275/Na4VHO5/harm
mp-554278/TiO2/harm
mp-554278-2/TiO2/harm
mp-554280/RbTh2P3O12/harm
mp-554280-2/RbTh2P3O12/harm
mp-554282/Lu3B5O12/anharm
mp-554285/Na15S5ClO20F4/harm
mp-554286/La6Ti2S8O5/harm
mp-554286-2/La6Ti2S8O5/harm
mp-554288/NaPH4O5/harm
mp-554288-2/NaPH4O5/harm
mp-554294/Na7SnS3O12F3/harm
mp-554294-2/Na7SnS3O12F3/harm
mp-554303/La3UCl3O6/harm
mp-554303-2/La3UCl3O6/anharm
mp-554310/TlBiS2/anharm
mp-554320/P2Pd2O7/harm
mp-554328/NaSO4/harm
mp-554329/RbVH6SO9/harm
mp-554336/NbAg2P2S8/harm
mp-554343/K2CuSbS3/anharm
mp-554346/KSr4B3O9/harm
mp-554351/SrHg2Cl2O2/anharm
mp-554353/TiS4N5Cl5/harm
mp-554355/CaF2/harm
mp-554359/Cs2Si3SnO9/harm
mp-554359-2/Cs2Si3SnO9/harm
mp-554361/TcXeO4F5/harm
mp-554363/Pr2Ti3Cl2O8/harm
mp-554363-2/Pr2Ti3Cl2O8/harm
mp-554364/MgBeAl4O8/harm
mp-554364-2/MgBeAl4O8/anharm
mp-554371/CaSiBHO5/harm
mp-554371-2/CaSiBHO5/harm
mp-554376/Y4TiSi2O9F6/anharm
mp-554382/K2CdP2O7/harm
mp-554382-2/K2CdP2O7/harm
mp-554383/Na2Si2O5/harm
mp-554383-2/Na2Si2O5/harm
mp-554384/NaSbP2S6/harm
mp-554384-2/NaSbP2S6/harm
mp-554390/SrAl2SiN2O3/harm
mp-554390-2/SrAl2SiN2O3/harm
mp-554395/Na5Li3Ti2S8/anharm
mp-554402/La2Mo3O12/harm
mp-554405/ZnS/harm
mp-554405-2/ZnS/harm
mp-554408/CsAgSb4S7/harm
mp-554408-2/CsAgSb4S7/anharm
mp-554412/RbTaP2O8/harm
mp-554412-2/RbTaP2O8/harm
mp-554420/Y2SiO5/harm
mp-554420-2/Y2SiO5/harm
mp-554421/KCu2AsS3/anharm
mp-554423/YP3O9/harm
mp-554433/KAlSi2O6/harm
mp-554435/TcBi3O8/harm
mp-554441/NaTi2Ga5O12/harm
mp-554441-2/NaTi2Ga5O12/harm
mp-554442/LiAuF4/harm
mp-554442-2/LiAuF4/harm
mp-554443/Na6Se2O9/harm
mp-554445/Bi5IO7/harm
mp-554445-2/Bi5IO7/harm
mp-554459/Pr6S4BrN3/anharm
mp-554463/Na3LuSi2O7/harm
mp-554463-2/Na3LuSi2O7/harm
mp-554472/PNClF/harm
mp-554475/LaNb2ClO6/harm
mp-554475-2/LaNb2ClO6/harm
mp-554479/Ba3BPO7/harm
mp-554479-2/Ba3BPO7/harm
mp-554481/Ba2Sb4P2O17/harm
mp-554481-2/Ba2Sb4P2O17/harm
mp-554491/SiCCl3F3/harm
mp-554493/BiAsPbO5/harm
mp-554493-2/BiAsPbO5/harm
mp-554495/CaZrP2O8/harm
mp-554495-2/CaZrP2O8/harm
mp-554500/Bi2WO6/harm
mp-554503/ZnS/harm
mp-554505/KHoP4O12/harm
mp-554505-2/KHoP4O12/harm
mp-554507/Na2AlNiF7/harm
mp-554515/KScH4C4O10/harm
mp-554515-2/KScH4C4O10/harm
mp-554529/Ba2TiO4/harm
mp-554529-2/Ba2TiO4/harm
mp-554532/K2TeClF5/harm
mp-554532-2/K2TeClF5/harm
mp-554533/Hg2Mo2O7/harm
mp-554540/Li5ReO6/anharm
mp-554540-2/Li5ReO6/anharm
mp-554542/Mg3BO3F3/anharm
mp-554543/SiO2/harm
mp-554543-2/SiO2/harm
mp-554548/BaMo2Se2O11/harm
mp-554549/CaGeO3/anharm
mp-554552/Zn3P2H2O9/harm
mp-554553/Ho3CuSnS7/harm
mp-554554/K9BiP4S16/harm
mp-554554-2/K9BiP4S16/harm
mp-554560/Li4Be3P3BrO12/anharm
mp-554570/H10C3NClO4/harm
mp-554572/K3NbP2O9/harm
mp-554573/SiO2/harm
mp-554573-2/SiO2/harm
mp-554577/Li4P2O7/harm
mp-554581/KSmP2S7/harm
mp-554581-2/KSmP2S7/anharm
mp-554584/Rb3NaPbO4/harm
mp-554584-2/Rb3NaPbO4/anharm
mp-554592/CsCSO3F3/harm
mp-554593/TbTaO4/harm
mp-554593-2/TbTaO4/harm
mp-554602/Rb2PdN2Cl2O4/harm
mp-554605/Rb2SbCl3F2/harm
mp-554608/ZnS/harm
mp-554610/PrZr2F11/harm
mp-554610-2/PrZr2F11/anharm
mp-554615/KErP4O12/harm
mp-554615-2/KErP4O12/harm
mp-554623/Sm2Ta2Cl2O7/harm
mp-554623-2/Sm2Ta2Cl2O7/harm
mp-554626/BaBr2O6/harm
mp-554626-2/BaBr2O6/harm
mp-554627/Cu6PS5Br/harm
mp-554627-2/Cu6PS5Br/harm
mp-554630/ZnS/anharm
mp-554641/Sr3MgSi2O8/anharm
mp-554645/K3Sb2N2O6F7/harm
mp-554645-2/K3Sb2N2O6F7/harm
mp-554646/TeS4N4Cl4/harm
mp-554657/Na2Tl2B10O17/harm
mp-554659/H12C5N2O/harm
mp-554663/Mg2SiO4/anharm
mp-554665/SiO2/harm
mp-554669/Ba3Ta2CdO9/harm
mp-554669-2/Ba3Ta2CdO9/harm
mp-554675/SrTa2Bi2O9/harm
mp-554675-2/SrTa2Bi2O9/harm
mp-554681/ZnS/harm
mp-554682/SiO2/harm
mp-554685/Li2U3V2O15/harm
mp-554688/Ba6Hf5S16/harm
mp-554699/GePbO3/harm
mp-554699-2/GePbO3/anharm
mp-554700/V2Zn3TeO10/harm
mp-554701/SbPO2F6/harm
mp-554704/TiPHO5/harm
mp-554704-2/TiPHO5/harm
mp-554710/AgAsC4S8N4F6/harm
mp-554711/CSCl2/harm
mp-554713/ZnS/harm
mp-554718/BiB3O6/harm
mp-554718-2/BiB3O6/harm
mp-554719/Mg3BH3O6/anharm
mp-554719-2/Mg3BH3O6/anharm
mp-554722/Y3GaO6/harm
mp-554722-2/Y3GaO6/harm
mp-554724/CuP4S3I/anharm
mp-554724-2/CuP4S3I/anharm
mp-554724-3/CuP4S3I/anharm
mp-554733/Li4Al3Ge3BrO12/anharm
mp-554736/CaB2H12O10/harm
mp-554736-2/CaB2H12O10/harm
mp-554737/CsAu2F7/harm
mp-554737-2/CsAu2F7/harm
mp-554740/CdGeBi2O6/harm
mp-554740-2/CdGeBi2O6/harm
mp-554741/KErP2S7/harm
mp-554741-2/KErP2S7/anharm
mp-554749/P3IrO9/harm
mp-554749-2/P3IrO9/harm
mp-554752/RbLi7Si2O8/harm
mp-554752-2/RbLi7Si2O8/harm
mp-554754/Na2ZnS2O8/harm
mp-554755/SiO2/harm
mp-554758/SiP2O7/harm
mp-554758-2/SiP2O7/harm
mp-554759/SrBNO/harm
mp-554759-2/SrBNO/anharm
mp-554762/KXeO3F/harm
mp-554765/BaSb2F12/harm
mp-554766/AgPXe2F10/harm
mp-554766-2/AgPXe2F10/harm
mp-554767/Mg2V2O7/harm
mp-554773/La3BWO9/harm
mp-554774/RbLuS2O8/harm
mp-554774-2/RbLuS2O8/harm
mp-554781/Tb3CuSnS7/harm
mp-554781-2/Tb3CuSnS7/harm
mp-554782/Li2Ga2GeS6/harm
mp-554782-2/Li2Ga2GeS6/harm
mp-554783/KUN3O11/harm
mp-554786/Rb2Mo2O7/harm
mp-554787/RbMoIO6/harm
mp-554791/RuO4/harm
mp-554793/YH7C4O11/harm
mp-554793-2/YH7C4O11/harm
mp-554796/BaSc3AgS6/anharm
mp-554801/Ca3Nb4O12F2/harm
mp-554803/VPbClO3/harm
mp-554805/Sr3Se3Cl2O8/harm
mp-554805-2/Sr3Se3Cl2O8/harm
mp-554808/SnH22Cl6O10/harm
mp-554808-2/SnH22Cl6O10/harm
mp-554817/Ba3CaSb2O9/harm
mp-554817-2/Ba3CaSb2O9/harm
mp-554818/KTe3O6F/harm
mp-554818-2/KTe3O6F/harm
mp-554820/ZnS/harm
mp-554821/TbI3O9/harm
mp-554821-2/TbI3O9/harm
mp-554822/CsSbP2O8/harm
mp-554823/Na2SnC4O8/harm
mp-554823-2/Na2SnC4O8/harm
mp-554825/K2SnP2O7/harm
mp-554825-2/K2SnP2O7/harm
mp-554826/Pr3Si2ClO8/anharm
mp-554829/ZnS/harm
mp-554829-2/ZnS/harm
mp-554831/Yb4Cl6O/harm
mp-554831-2/Yb4Cl6O/anharm
mp-554838/Rb2Cr2CdH4O10/harm
mp-554840/H13C4NF2/harm
mp-554845/Na2Zn2O3/anharm
mp-554845-2/Na2Zn2O3/harm
mp-554847/SbPCl6O2/harm
mp-554852/Y2Te5O13/harm
mp-554853/Na4Si3Sn2O12/harm
mp-554853-2/Na4Si3Sn2O12/harm
mp-554854/CsLuP2O7/harm
mp-554854-2/CsLuP2O7/harm
mp-554856/Na2Si2O5/harm
mp-554856-2/Na2Si2O5/harm
mp-554859/KGeAuS3/anharm
mp-554863/KNb5O13/harm
mp-554863-2/KNb5O13/harm
mp-554867/Ta2O5/harm
mp-554873/Ag2B8O13/harm
mp-554883/AlH3O3/harm
mp-554885/Ba3Si6N4O9/harm
mp-554885-2/Ba3Si6N4O9/harm
mp-554886/Ba3Nb2P4O18/harm
mp-554889/ZnS/anharm
mp-554896/SbXe2OF15/harm
mp-554899/CsAlF4/harm
mp-554899-2/CsAlF4/anharm
mp-554901/Ga2MoSe2O10/harm
mp-554903/TbSeClO3/anharm
mp-554906/Zn2BiPO6/harm
mp-554906-2/Zn2BiPO6/harm
mp-554914/Hg3PO4/harm
mp-554914-2/Hg3PO4/harm
mp-554918/BaY6Si3B6O24F2/harm
mp-554919/Tl4Mo5O17/harm
mp-554921/HgBi2S4/anharm
mp-554923/SrGa2O4/anharm
mp-554929/CsNdNb2O7/harm
mp-554929-2/CsNdNb2O7/harm
mp-554930/Nb2AgPS10/harm
mp-554935/Pr8Sb2S15/harm
mp-554941/Rb2KBiF6/harm
mp-554941-2/Rb2KBiF6/harm
mp-554944/TiSO5/harm
mp-554944-2/TiSO5/harm
mp-554947/NaSiBO4/harm
mp-554948/NaIO2F2/harm
mp-554948-2/NaIO2F2/anharm
mp-554950/Hg3SbAsS3/harm
mp-554950-2/Hg3SbAsS3/anharm
mp-554952/Te2Pb3Cl2O6/harm
mp-554952-2/Te2Pb3Cl2O6/harm
mp-554957/Te3IO3F15/harm
mp-554959/K2Al2Sb2O7/harm
mp-554959-2/K2Al2Sb2O7/harm
mp-554961/ZnS/harm
Harmonic properties
Summary
mp-554966/Na5MoNO4/harm
mp-554977/B2H10C2NClO3/harm
mp-554988/Ag2Ge2O5/harm
mp-554994/Ta2Tl3Cu3S8/harm
mp-555000/MgH2C2O4/harm
data_555001-556000
data_556001-557000
data_557001-558000
data_558001-559000
data_559001-560000
data_560001-561000
data_561001-562000
data_562001-563000
data_563001-564000
data_565001-566000
data_566001-567000
data_567001-568000
data_568001-569000
data_569001-570000
data_570001-571000
data_571001-572000
data_572001-573000
data_573001-574000
data_574001-575000
data_578001-579000
data_579001-580000
data_580001-581000
data_581001-582000
data_582001-583000
data_583001-584000
data_584001-585000
data_585001-586000
data_600001-601000
data_601001-602000
data_603001-604000
data_604001-605000
data_605001-606000
data_606001-607000
data_607001-608000
data_608001-609000
data_609001-610000
data_610001-611000
data_611001-612000
data_612001-613000
data_613001-614000
data_614001-615000
data_615001-616000
data_616001-617000
data_617001-618000
data_618001-619000
data_619001-620000
data_620001-621000
data_621001-622000
data_622001-623000
data_623001-624000
data_624001-625000
data_625001-626000
data_626001-627000
data_627001-628000
data_628001-629000
data_629001-630000
data_630001-631000
data_631001-632000
data_632001-633000
data_633001-634000
data_634001-635000
data_635001-636000
data_636001-637000
data_637001-638000
data_638001-639000
data_639001-640000
data_640001-641000
data_641001-642000
data_642001-643000
data_643001-644000
data_644001-645000
data_645001-646000
data_646001-647000
data_647001-648000
data_648001-649000
data_649001-650000
data_650001-651000
data_651001-652000
data_652001-653000
data_653001-654000
data_654001-655000
data_655001-656000
data_656001-657000
data_657001-658000
data_662001-663000
data_665001-666000
data_667001-668000
data_669001-670000
data_672001-673000
data_673001-674000
data_674001-675000
data_675001-676000
data_676001-677000
data_677001-678000
data_679001-680000
data_680001-681000
data_681001-682000
data_682001-683000
data_683001-684000
data_684001-685000
data_685001-686000
data_686001-687000
data_687001-688000
data_689001-690000
data_690001-691000
data_691001-692000
data_693001-694000
data_694001-695000
data_695001-696000
data_696001-697000
data_697001-698000
data_698001-699000
data_699001-700000
data_703001-704000
data_704001-705000
data_705001-706000
data_706001-707000
data_707001-708000
data_708001-709000
data_709001-710000
data_714001-715000
data_715001-716000
data_720001-721000
data_721001-722000
data_722001-723000
data_723001-724000
data_724001-725000
data_725001-726000
data_726001-727000
data_727001-728000
data_728001-729000
data_729001-730000
data_730001-731000
data_731001-732000
data_732001-733000
data_733001-734000
data_734001-735000
data_735001-736000
data_736001-737000
data_738001-739000
data_740001-741000
data_741001-742000
data_743001-744000
data_744001-745000
data_746001-747000
data_752001-753000
data_753001-754000
data_754001-755000
data_755001-756000
data_756001-757000
data_757001-758000
data_758001-759000
data_759001-760000
data_760001-761000
data_761001-762000
data_762001-763000
data_763001-764000
data_764001-765000
data_765001-766000
data_766001-767000
data_767001-768000
data_768001-769000
data_769001-770000
data_770001-771000
data_771001-772000
data_772001-773000
data_773001-774000
data_774001-775000
data_775001-776000
data_776001-777000
data_777001-778000
data_778001-779000
data_779001-780000
data_780001-781000
data_781001-782000
data_782001-783000
data_796001-797000
data_801001-802000
data_818001-819000
data_825001-826000
data_826001-827000
data_831001-832000
data_836001-837000
data_849001-850000
data_850001-851000
data_851001-852000
data_857001-858000
data_859001-860000
data_860001-861000
data_861001-862000
data_862001-863000
data_863001-864000
data_864001-865000
data_865001-866000
data_866001-867000
data_867001-868000
data_924001-925000
data_935001-936000
data_936001-937000
data_937001-938000
data_941001-942000
data_945001-946000
data_949001-950000
data_950001-951000
data_961001-962000
data_962001-963000
data_966001-967000
data_971001-972000
data_972001-973000
data_973001-974000
data_974001-975000
data_975001-976000
data_976001-977000
data_977001-978000
data_978001-979000
data_979001-980000
data_980001-981000
data_981001-982000
data_982001-983000
data_983001-984000
data_984001-985000
data_985001-986000
data_986001-987000
data_988001-989000
data_989001-990000
data_990001-991000
data_991001-992000
data_992001-993000
data_995001-996000
data_996001-997000
data_997001-998000
data_998001-999000
data_999001-1000000
data_1001001-1002000
data_1002001-1003000
data_1004001-1005000
data_1005001-1006000
data_1006001-1007000
data_1007001-1008000
data_1008001-1009000
data_1009001-1010000
data_1011001-1012000
data_1012001-1013000
data_1013001-1014000
data_1014001-1015000
data_1016001-1017000
data_1017001-1018000
data_1018001-1019000
data_1019001-1020000
data_1020001-1021000
data_1021001-1022000
data_1022001-1023000
data_1023001-1024000
data_1025001-1026000
data_1026001-1027000
data_1029001-1030000
data_1030001-1031000
data_1040001-1041000
data_1041001-1042000
data_1042001-1043000
data_1043001-1044000
data_1044001-1045000
data_1045001-1046000
data_1046001-1047000
data_1047001-1048000
data_1048001-1049000
data_1049001-1050000
data_1056001-1057000
data_1057001-1058000
data_1060001-1061000
data_1062001-1063000
data_1063001-1064000
data_1064001-1065000
data_1065001-1066000
data_1066001-1067000
data_1067001-1068000
data_1068001-1069000
data_1069001-1070000
data_1070001-1071000
data_1071001-1072000
data_1072001-1073000
data_1075001-1076000
data_1076001-1077000
data_1077001-1078000
data_1078001-1079000
data_1079001-1080000
data_1080001-1081000
data_1084001-1085000
data_1086001-1087000
data_1087001-1088000
data_1091001-1092000
data_1092001-1093000
data_1093001-1094000
data_1094001-1095000
data_1095001-1096000
data_1096001-1097000
data_1097001-1098000
data_1098001-1099000
data_1099001-1100000
data_1100001-1101000
data_1101001-1102000
data_1102001-1103000
data_1103001-1104000
data_1104001-1105000
data_1105001-1106000
data_1106001-1107000
data_1110001-1111000
data_1111001-1112000
data_1112001-1113000
data_1113001-1114000
data_1114001-1115000
data_1119001-1120000
data_1120001-1121000
data_1147001-1148000
data_1153001-1154000
data_1172001-1173000
data_1173001-1174000
data_1176001-1177000
data_1178001-1179000
data_1179001-1180000
data_1180001-1181000
data_1181001-1182000
data_1182001-1183000
data_1183001-1184000
data_1184001-1185000
data_1185001-1186000
data_1186001-1187000
data_1187001-1188000
data_1188001-1189000
data_1189001-1190000
data_1190001-1191000
data_1191001-1192000
data_1192001-1193000
data_1193001-1194000
data_1194001-1195000
data_1195001-1196000
data_1196001-1197000
data_1197001-1198000
data_1198001-1199000
data_1199001-1200000
data_1200001-1201000
data_1201001-1202000
data_1202001-1203000
data_1203001-1204000
data_1204001-1205000
data_1205001-1206000
data_1206001-1207000
data_1207001-1208000
data_1208001-1209000
data_1209001-1210000
data_1210001-1211000
data_1211001-1212000
data_1212001-1213000
data_1213001-1214000
data_1214001-1215000
data_1215001-1216000
data_1216001-1217000
data_1217001-1218000
data_1218001-1219000
data_1219001-1220000
data_1220001-1221000
data_1221001-1222000
data_1222001-1223000
data_1223001-1224000
data_1224001-1225000
data_1225001-1226000
data_1226001-1227000
data_1227001-1228000
data_1228001-1229000
data_1229001-1230000
data_1232001-1233000
data_1237001-1238000
data_1238001-1239000
data_1239001-1240000
data_1253001-1254000
data_1300001-1301000
data_1323001-1324000
data_1370001-1371000
data_1382001-1383000
data_1383001-1384000
data_1386001-1387000
data_1387001-1388000
data_1388001-1389000
data_1389001-1390000
data_1390001-1391000
data_1391001-1392000
data_1392001-1393000
data_1393001-1394000
data_1394001-1395000
data_1396001-1397000
data_1397001-1398000
data_1398001-1399000
data_1399001-1400000
data_1400001-1401000
data_1401001-1402000
data_1403001-1404000
data_1404001-1405000
data_1405001-1406000
data_1408001-1409000
data_1411001-1412000
data_1413001-1414000
data_1417001-1418000
data_1419001-1420000
data_1420001-1421000
data_1423001-1424000
data_1426001-1427000
data_1428001-1429000
data_1429001-1430000
data_1435001-1436000
data_1440001-1441000
data_1443001-1444000
data_1445001-1446000
Phonix database
ver2026.03.28
data_554001-555000
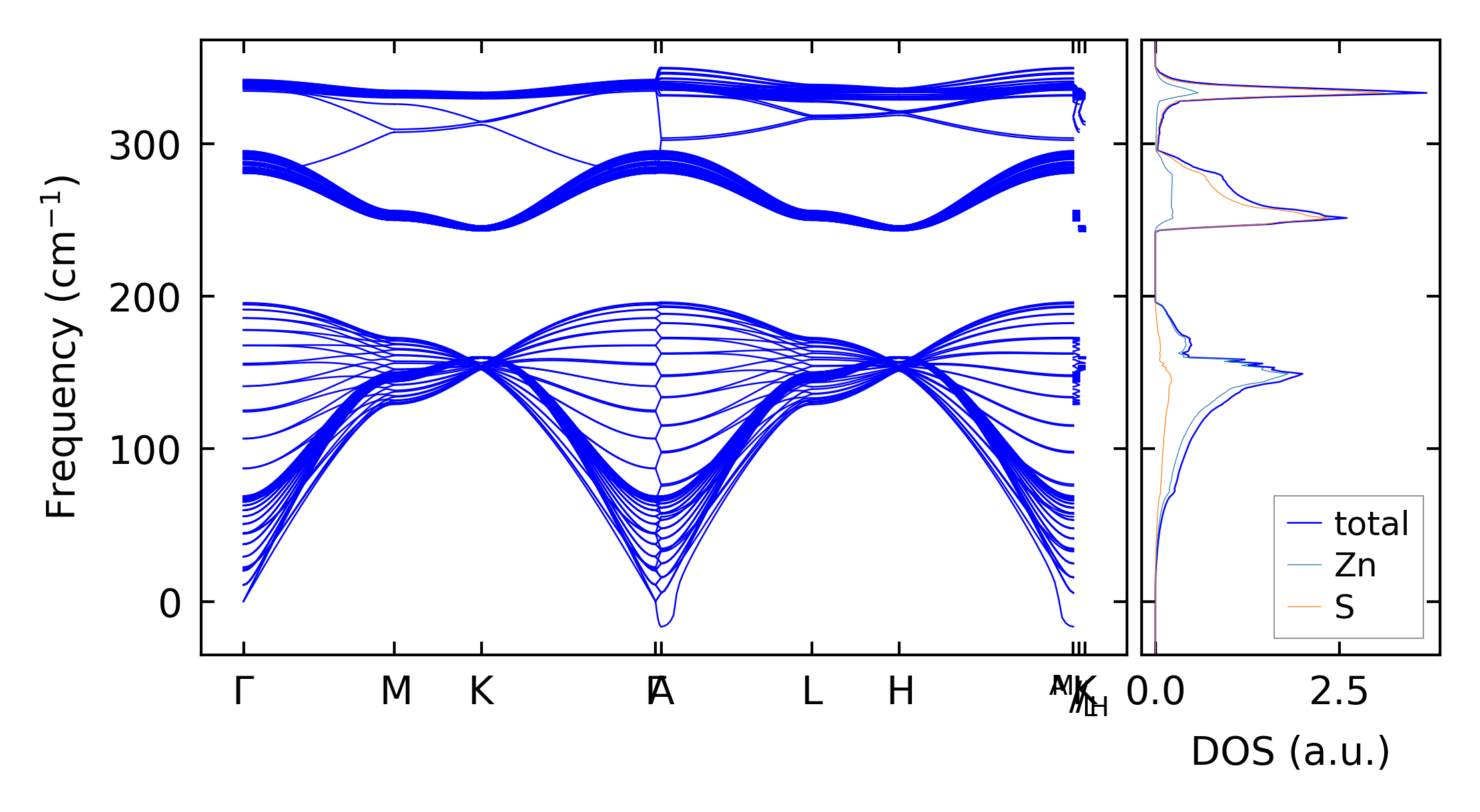
mp-554961/ZnS/harm
mp-554961/ZnS/harm
Space group:
P3m1 (156)
Link:
Materials Project
Download:
mp-554961.tar.gz
Harmonic properties
(a) Phonon dispersion and DOS
Summary
(a) Computation time