mp-554719-2/Mg3BH3O6/anharm

Equation of state

../../_images/fig_bm4573.png

(a) Equation of state

Harmonic properties

../../_images/fig_bandos_pr9062.png

(a) Phonon dispersion with participation ratio and DOS

../../_images/fig_thermo9062.png

(b) Thermodynamic properties

Grüneisen parameters

../../_images/fig_gru_all3607.png

(a) Grüneisen parameters

../../_images/fig_gruneisen3607.png

(b) Phonon dispersion with Grüneisen parameters

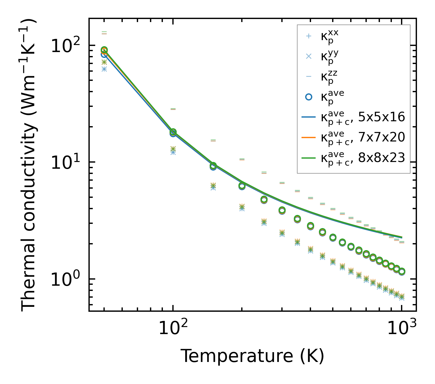
Thermal conductivity

3-phonon (LASSO) — q-mesh: 8x8x23, supercell: 1x1x3

../../_images/fig_kappa6811.png

(a) Temperature-dependent lattice thermal conductivity

../../_images/fig_kappa_vs_grain_size3654.png

(b) Peierls lattice thermal conductivity w.r.t grain size

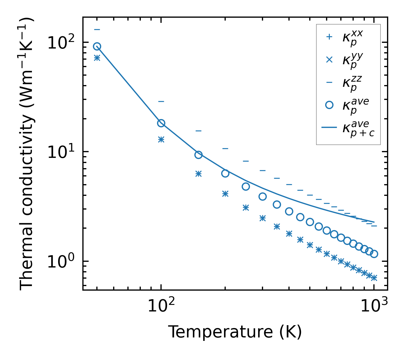
3-phonon (LASSO), supercell 2x2x3 — q-mesh: 8x8x23, supercell: 2x2x3

../../_images/fig_kappa6812.png

(a) Temperature-dependent lattice thermal conductivity

../../_images/fig_kappa_vs_grain_size3655.png

(b) Peierls lattice thermal conductivity w.r.t grain size

Phonon lifetime and scattering rates

../../_images/fig_lifetime3573.png

(a) Phonon lifetime due to phonon-phonon scattering

../../_images/fig_scat_rates3572.png

(b) Phonon scattering rates

Cumulative and spectral thermal conductivity

../../_images/fig_cumu_frequency3573.png

(a) Spectral and cumulative thermal conductivity w.r.t frequency

../../_images/fig_cumu_mfp3572.png

(b) Spectral and cumulative thermal conductivity w.r.t MFP

Force constants

../../_images/fig_fc28824.png

(a) Force constants w.r.t atomic distance

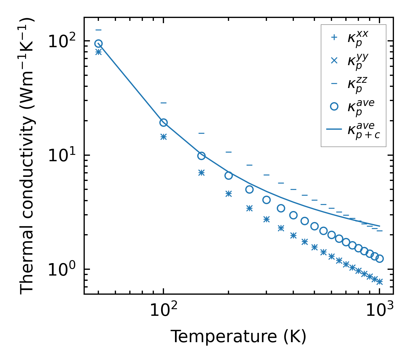
Summary

../../_images/fig_kappa6813.png

(a) Temperature-dependent lattice thermal conductivity

../../_images/fig_times15860.png

(b) Computation time