mp-554116/BaPb2BrF5/anharm

Harmonic properties

../../_images/fig_bandos_pr9272.png

(a) Phonon dispersion with participation ratio and DOS

../../_images/fig_thermo9272.png

(b) Thermodynamic properties

Grüneisen parameters

../../_images/fig_gru_all3697.png

(a) Grüneisen parameters

../../_images/fig_gruneisen3697.png

(b) Phonon dispersion with Grüneisen parameters

Thermal conductivity

3-phonon (LASSO) — q-mesh: 12x12x7, supercell: 2x2x2

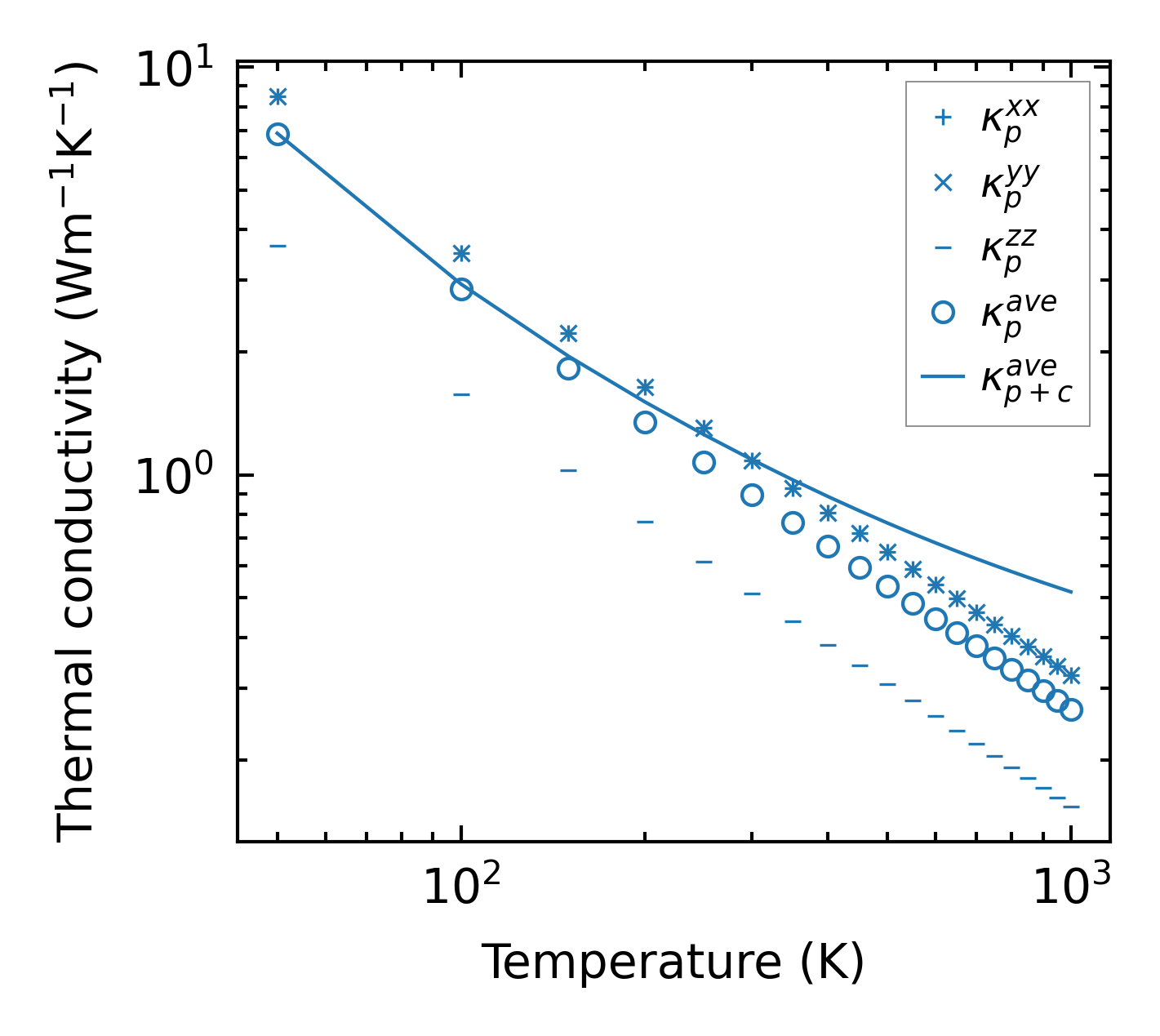
../../_images/fig_kappa6982.png

(a) Temperature-dependent lattice thermal conductivity

../../_images/fig_kappa_vs_grain_size3747.png

(b) Peierls lattice thermal conductivity w.r.t grain size

Phonon lifetime and scattering rates

../../_images/fig_lifetime3663.png

(a) Phonon lifetime due to phonon-phonon scattering

../../_images/fig_scat_rates3662.png

(b) Phonon scattering rates

Cumulative and spectral thermal conductivity

../../_images/fig_cumu_frequency3663.png

(a) Spectral and cumulative thermal conductivity w.r.t frequency

../../_images/fig_cumu_mfp3662.png

(b) Spectral and cumulative thermal conductivity w.r.t MFP

Force constants

../../_images/fig_fc29034.png

(a) Force constants w.r.t atomic distance

Summary

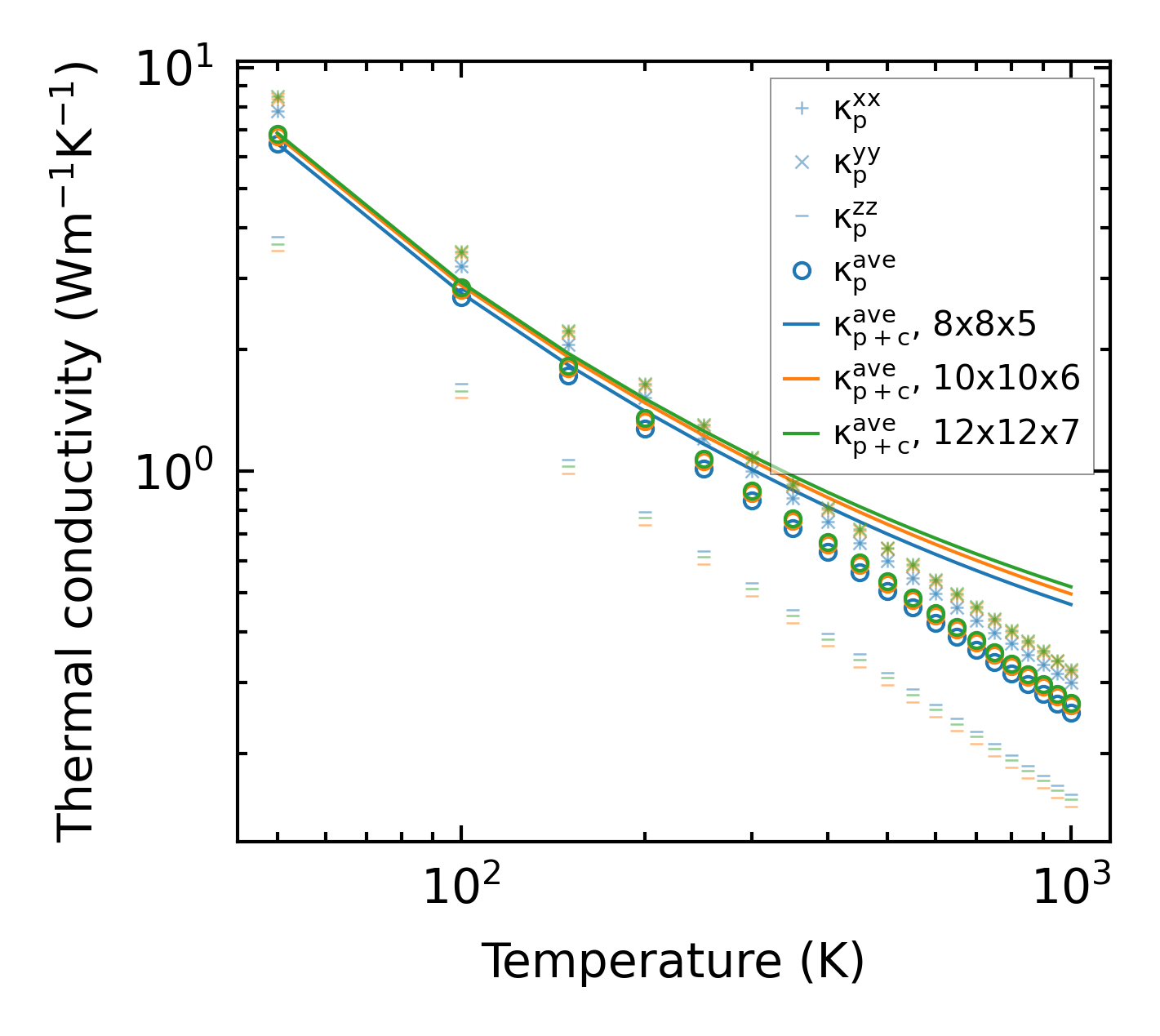
../../_images/fig_kappa6983.png

(a) Temperature-dependent lattice thermal conductivity

../../_images/fig_times16156.png

(b) Computation time