mp-554724-3/CuP4S3I/anharm

Harmonic properties

../../_images/fig_bandos_pr9067.png

(a) Phonon dispersion with participation ratio and DOS

../../_images/fig_thermo9067.png

(b) Thermodynamic properties

Grüneisen parameters

../../_images/fig_gru_all3610.png

(a) Grüneisen parameters

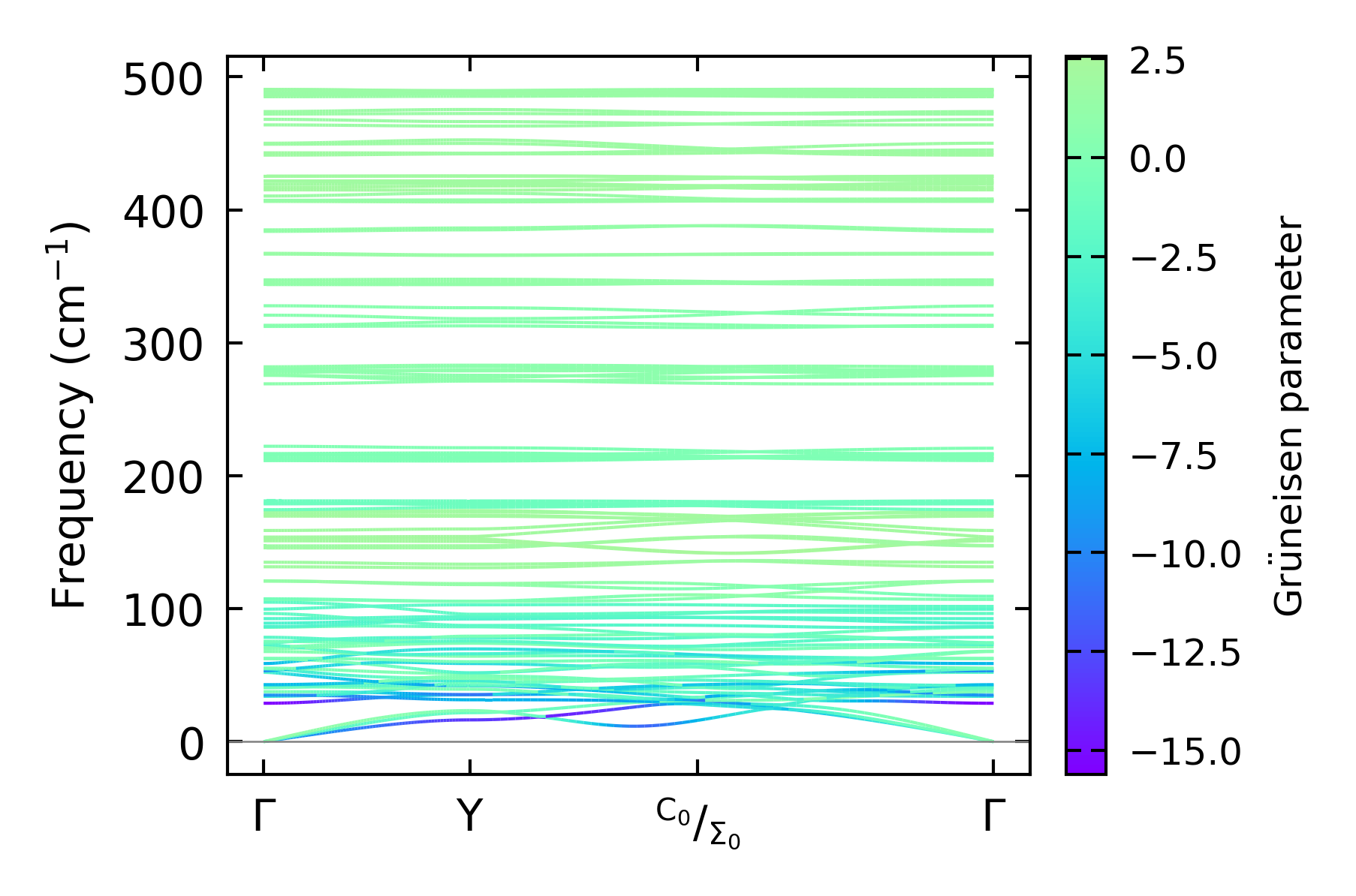
../../_images/fig_gruneisen3610.png

(b) Phonon dispersion with Grüneisen parameters

Thermal conductivity

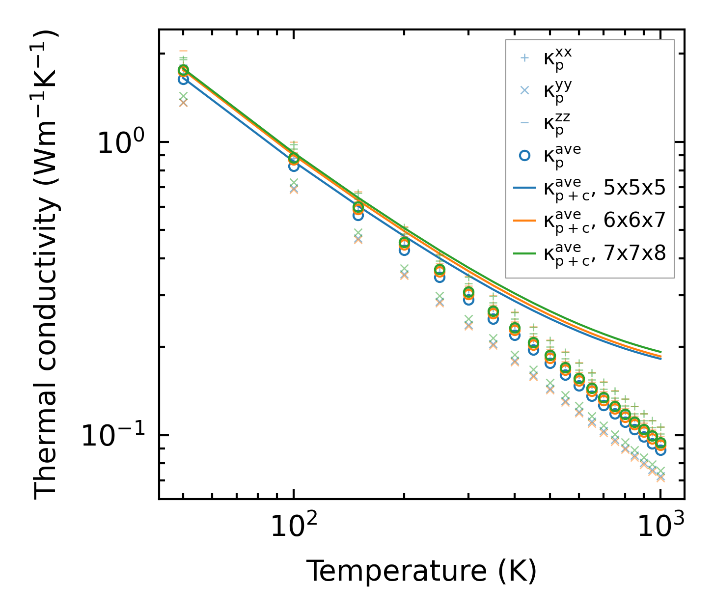
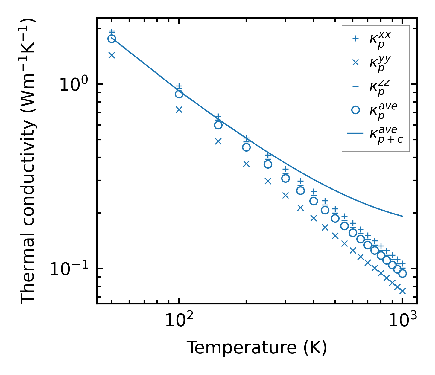
3-phonon (LASSO) — q-mesh: 7x7x8, supercell: 2x1x1

../../_images/fig_kappa6818.png

(a) Temperature-dependent lattice thermal conductivity

../../_images/fig_kappa_vs_grain_size3658.png

(b) Peierls lattice thermal conductivity w.r.t grain size

Phonon lifetime and scattering rates

../../_images/fig_lifetime3576.png

(a) Phonon lifetime due to phonon-phonon scattering

../../_images/fig_scat_rates3575.png

(b) Phonon scattering rates

Cumulative and spectral thermal conductivity

../../_images/fig_cumu_frequency3576.png

(a) Spectral and cumulative thermal conductivity w.r.t frequency

../../_images/fig_cumu_mfp3575.png

(b) Spectral and cumulative thermal conductivity w.r.t MFP

Force constants

../../_images/fig_fc28829.png

(a) Force constants w.r.t atomic distance

Summary

../../_images/fig_kappa6819.png

(a) Temperature-dependent lattice thermal conductivity

../../_images/fig_times15865.png

(b) Computation time