mp-554351/SrHg2Cl2O2/anharm

Harmonic properties

../../_images/fig_bandos_pr8976.png

(a) Phonon dispersion with participation ratio and DOS

../../_images/fig_thermo8976.png

(b) Thermodynamic properties

Grüneisen parameters

../../_images/fig_gru_all3587.png

(a) Grüneisen parameters

../../_images/fig_gruneisen3587.png

(b) Phonon dispersion with Grüneisen parameters

Thermal conductivity

3-phonon (LASSO) — q-mesh: 9x10x6, supercell: 2x2x1

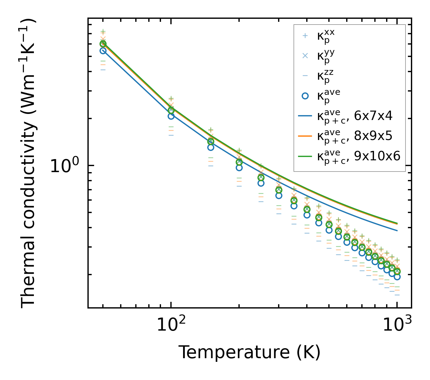
../../_images/fig_kappa6777.png

(a) Temperature-dependent lattice thermal conductivity

../../_images/fig_kappa_vs_grain_size3634.png

(b) Peierls lattice thermal conductivity w.r.t grain size

Phonon lifetime and scattering rates

../../_images/fig_lifetime3554.png

(a) Phonon lifetime due to phonon-phonon scattering

../../_images/fig_scat_rates3553.png

(b) Phonon scattering rates

Cumulative and spectral thermal conductivity

../../_images/fig_cumu_frequency3554.png

(a) Spectral and cumulative thermal conductivity w.r.t frequency

../../_images/fig_cumu_mfp3553.png

(b) Spectral and cumulative thermal conductivity w.r.t MFP

Force constants

../../_images/fig_fc28737.png

(a) Force constants w.r.t atomic distance

Summary

../../_images/fig_kappa6778.png

(a) Temperature-dependent lattice thermal conductivity

../../_images/fig_times15725.png

(b) Computation time