mp-554626-2/BaBr2O6/harm

Harmonic properties

../../_images/fig_bandos_pr9040.png

(a) Phonon dispersion with participation ratio and DOS

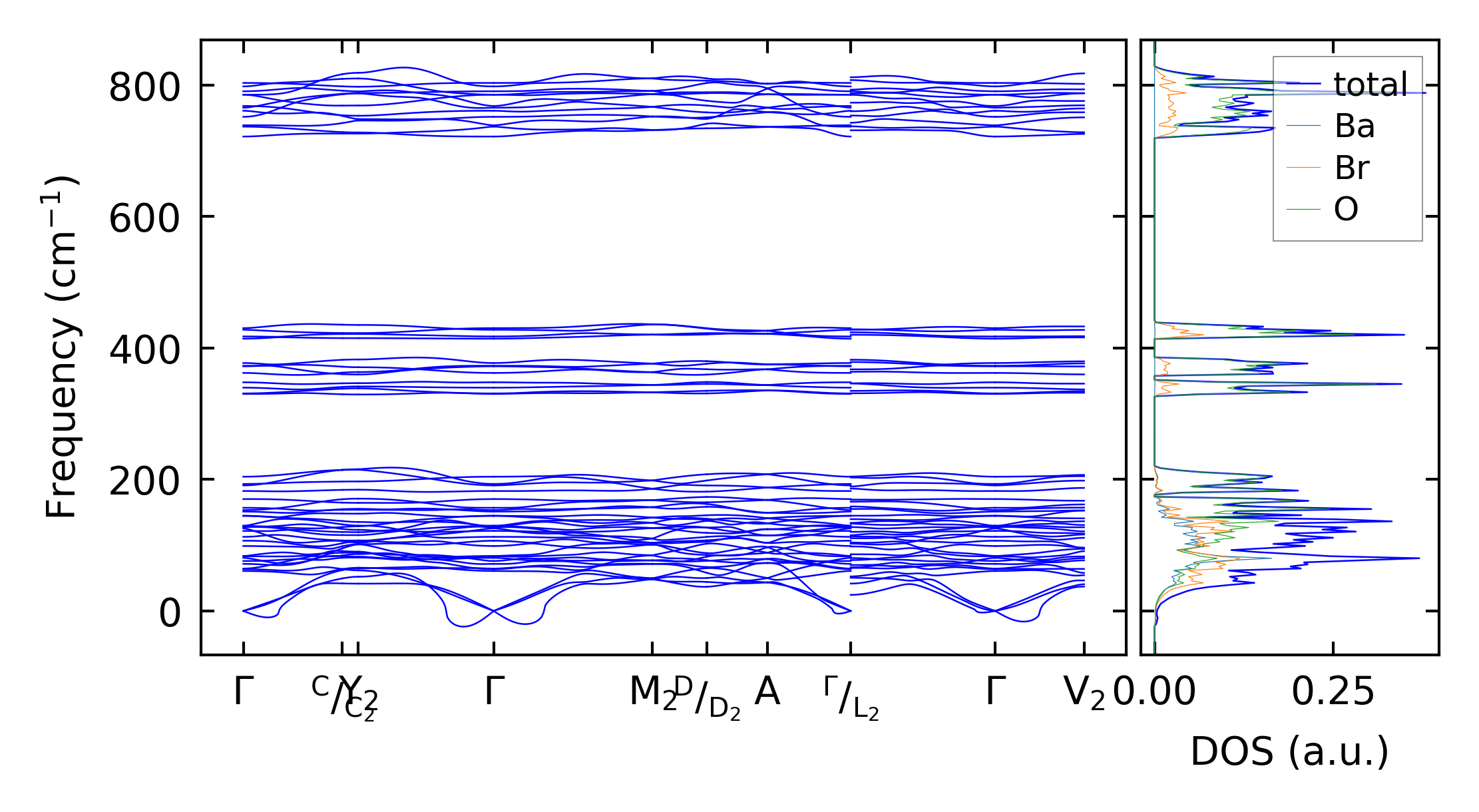
../../_images/fig_bandos12747.png

(b) Phonon dispersion and DOS

../../_images/fig_thermo9040.png

(c) Thermodynamic properties

Force constants

../../_images/fig_fc28802.png

(a) Force constants w.r.t atomic distance

Summary

../../_images/fig_times15828.png

(a) Computation time