mp-554741-2/KErP2S7/anharm

Equation of state

../../_images/fig_bm4578.png

(a) Equation of state

Harmonic properties

../../_images/fig_bandos_pr9071.png

(a) Phonon dispersion with participation ratio and DOS

../../_images/fig_bandos12785.png

(b) Phonon dispersion and DOS

../../_images/fig_thermo9071.png

(c) Thermodynamic properties

Grüneisen parameters

../../_images/fig_gru_all3612.png

(a) Grüneisen parameters

../../_images/fig_gruneisen3612.png

(b) Phonon dispersion with Grüneisen parameters

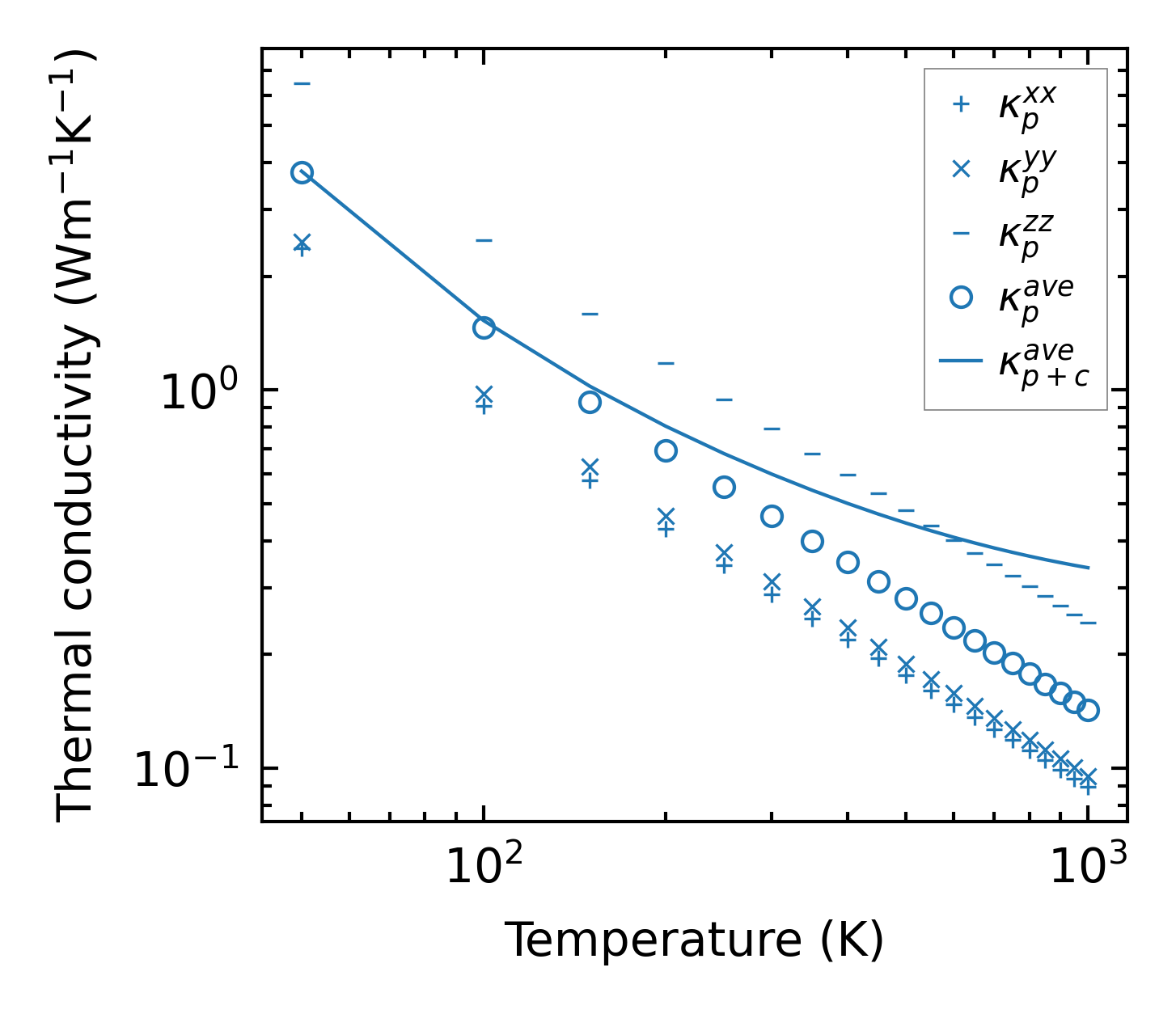
Thermal conductivity

3-phonon (LASSO), supercell 2x1x2 — q-mesh: 7x5x8, supercell: 2x1x2

../../_images/fig_kappa6822.png

(a) Temperature-dependent lattice thermal conductivity

../../_images/fig_kappa_vs_grain_size3660.png

(b) Peierls lattice thermal conductivity w.r.t grain size

Phonon lifetime and scattering rates

../../_images/fig_lifetime3578.png

(a) Phonon lifetime due to phonon-phonon scattering

../../_images/fig_scat_rates3577.png

(b) Phonon scattering rates

Cumulative and spectral thermal conductivity

../../_images/fig_cumu_frequency3578.png

(a) Spectral and cumulative thermal conductivity w.r.t frequency

../../_images/fig_cumu_mfp3577.png

(b) Spectral and cumulative thermal conductivity w.r.t MFP

Force constants

../../_images/fig_fc28833.png

(a) Force constants w.r.t atomic distance

Summary

../../_images/fig_times15874.png

(a) Computation time