mp-554191/Na2UO4/anharm

Harmonic properties

../../_images/fig_bandos_pr8932.png

(a) Phonon dispersion with participation ratio and DOS

../../_images/fig_thermo8932.png

(b) Thermodynamic properties

Grüneisen parameters

../../_images/fig_gru_all3574.png

(a) Grüneisen parameters

../../_images/fig_gruneisen3574.png

(b) Phonon dispersion with Grüneisen parameters

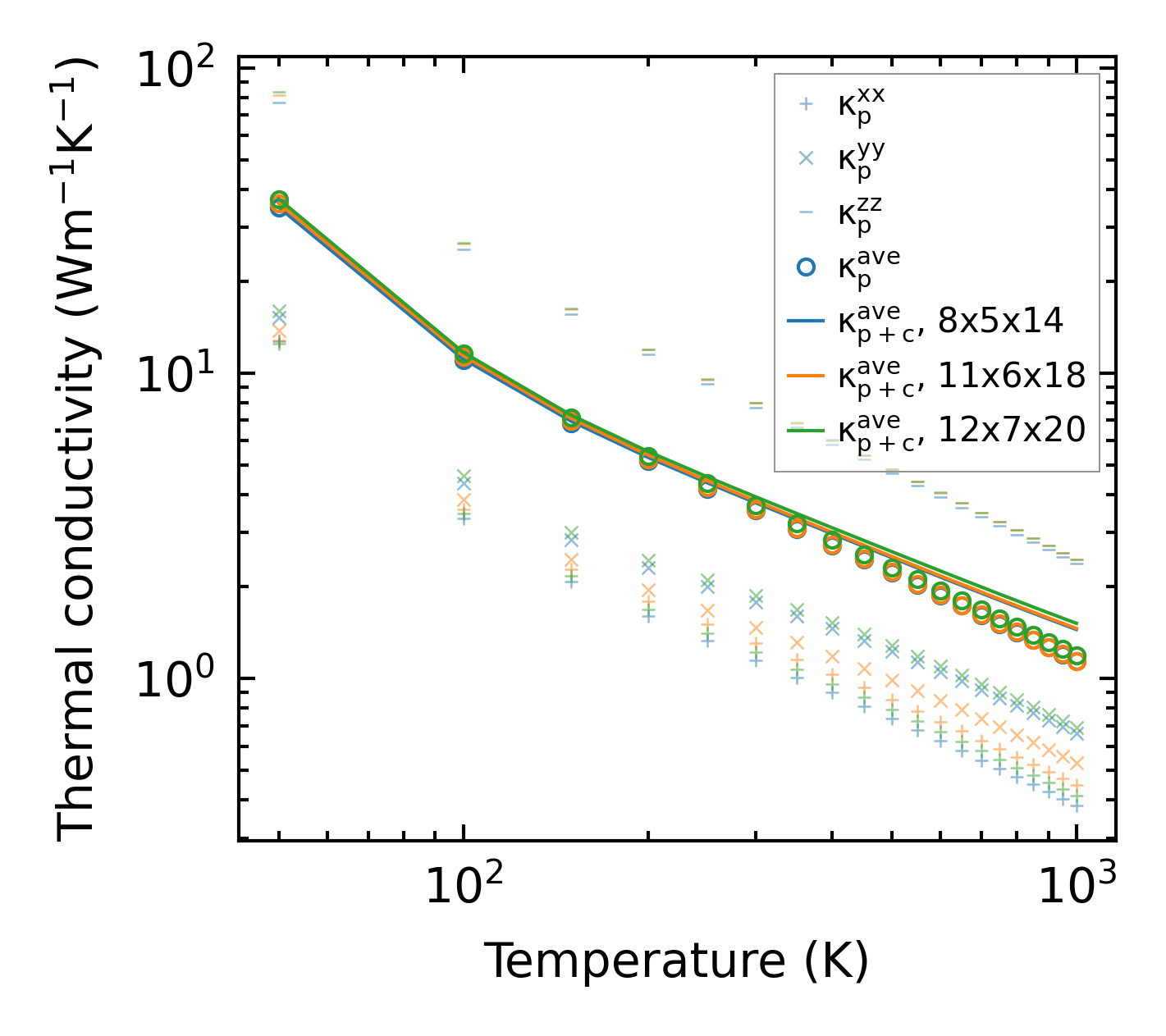
Thermal conductivity

3-phonon (LASSO) — q-mesh: 12x7x20, supercell: 2x1x3

../../_images/fig_kappa6753.png

(a) Temperature-dependent lattice thermal conductivity

../../_images/fig_kappa_vs_grain_size3620.png

(b) Peierls lattice thermal conductivity w.r.t grain size

Phonon lifetime and scattering rates

../../_images/fig_lifetime3541.png

(a) Phonon lifetime due to phonon-phonon scattering

../../_images/fig_scat_rates3540.png

(b) Phonon scattering rates

Cumulative and spectral thermal conductivity

../../_images/fig_cumu_frequency3541.png

(a) Spectral and cumulative thermal conductivity w.r.t frequency

../../_images/fig_cumu_mfp3540.png

(b) Spectral and cumulative thermal conductivity w.r.t MFP

Force constants

../../_images/fig_fc28693.png

(a) Force constants w.r.t atomic distance

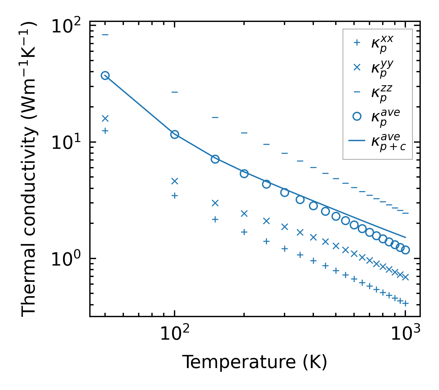
Summary

../../_images/fig_kappa6754.png

(a) Temperature-dependent lattice thermal conductivity

../../_images/fig_times15658.png

(b) Computation time