mp-554412/RbTaP2O8/harm

Harmonic properties

../../_images/fig_bandos_pr8992.png

(a) Phonon dispersion with participation ratio and DOS

../../_images/fig_bandos12679.png

(b) Phonon dispersion and DOS

../../_images/fig_thermo8992.png

(c) Thermodynamic properties

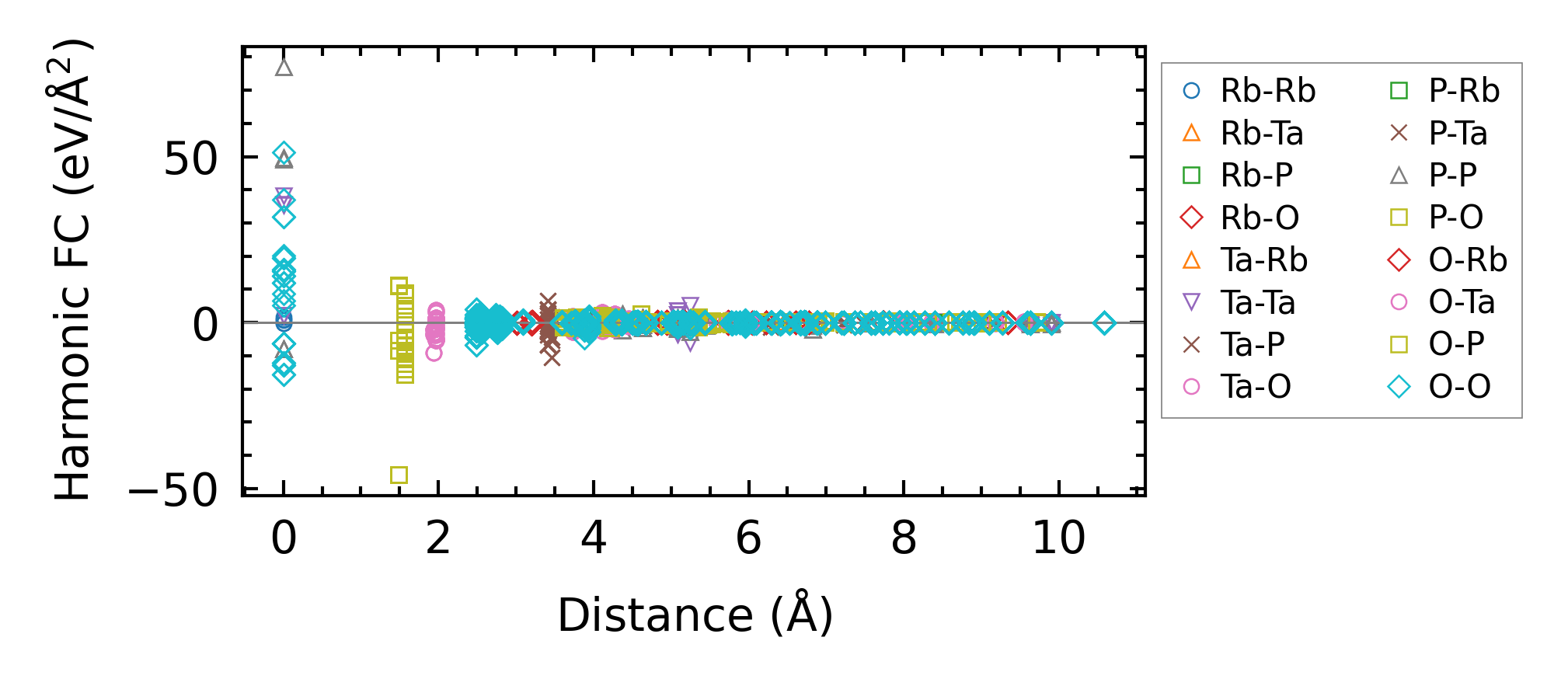
Force constants

../../_images/fig_fc28753.png

(a) Force constants w.r.t atomic distance

Summary

../../_images/fig_times15752.png

(a) Computation time