mp-554272-2/Cu3SbS3/anharm

Equation of state

../../_images/fig_bm4520.png

(a) Equation of state

Harmonic properties

../../_images/fig_bandos_pr8959.png

(a) Phonon dispersion with participation ratio and DOS

../../_images/fig_thermo8959.png

(b) Thermodynamic properties

Grüneisen parameters

../../_images/fig_gru_all3582.png

(a) Grüneisen parameters

../../_images/fig_gruneisen3582.png

(b) Phonon dispersion with Grüneisen parameters

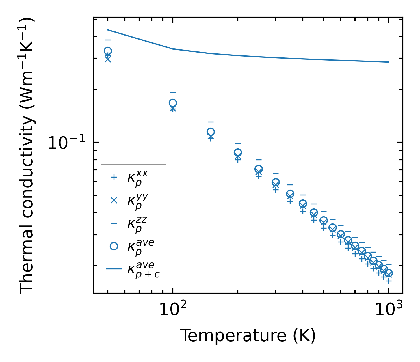
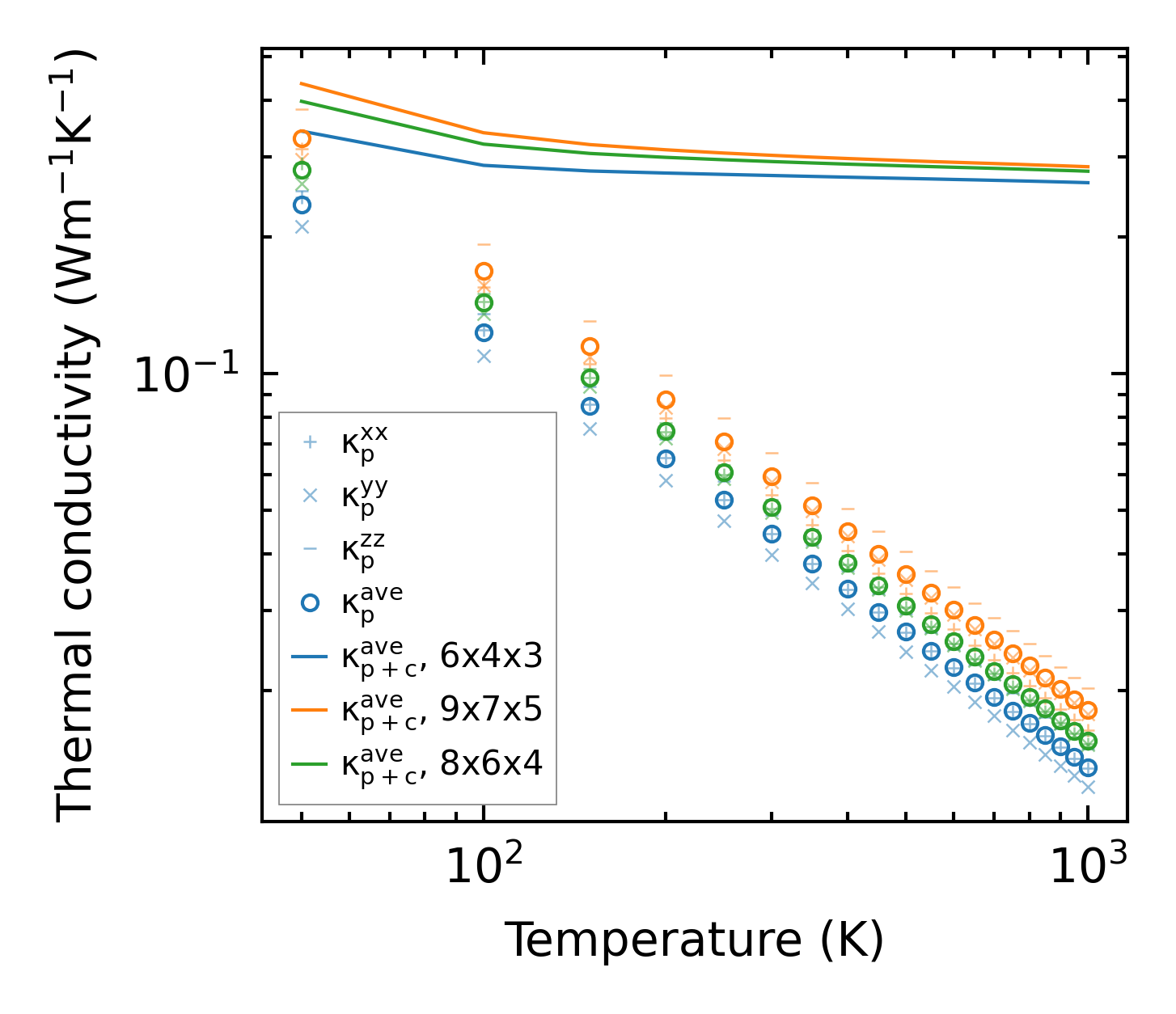
Thermal conductivity

3-phonon (LASSO) — q-mesh: 9x7x5, supercell: 2x1x1

../../_images/fig_kappa6768.png

(a) Temperature-dependent lattice thermal conductivity

../../_images/fig_kappa_vs_grain_size3629.png

(b) Peierls lattice thermal conductivity w.r.t grain size

Phonon lifetime and scattering rates

../../_images/fig_lifetime3549.png

(a) Phonon lifetime due to phonon-phonon scattering

../../_images/fig_scat_rates3548.png

(b) Phonon scattering rates

Cumulative and spectral thermal conductivity

../../_images/fig_cumu_frequency3549.png

(a) Spectral and cumulative thermal conductivity w.r.t frequency

../../_images/fig_cumu_mfp3548.png

(b) Spectral and cumulative thermal conductivity w.r.t MFP

Force constants

../../_images/fig_fc28720.png

(a) Force constants w.r.t atomic distance

Summary

../../_images/fig_kappa6769.png

(a) Temperature-dependent lattice thermal conductivity

../../_images/fig_times15701.png

(b) Computation time