mp-554442-2/LiAuF4/harm

Equation of state

../../_images/fig_bm4540.png

(a) Equation of state

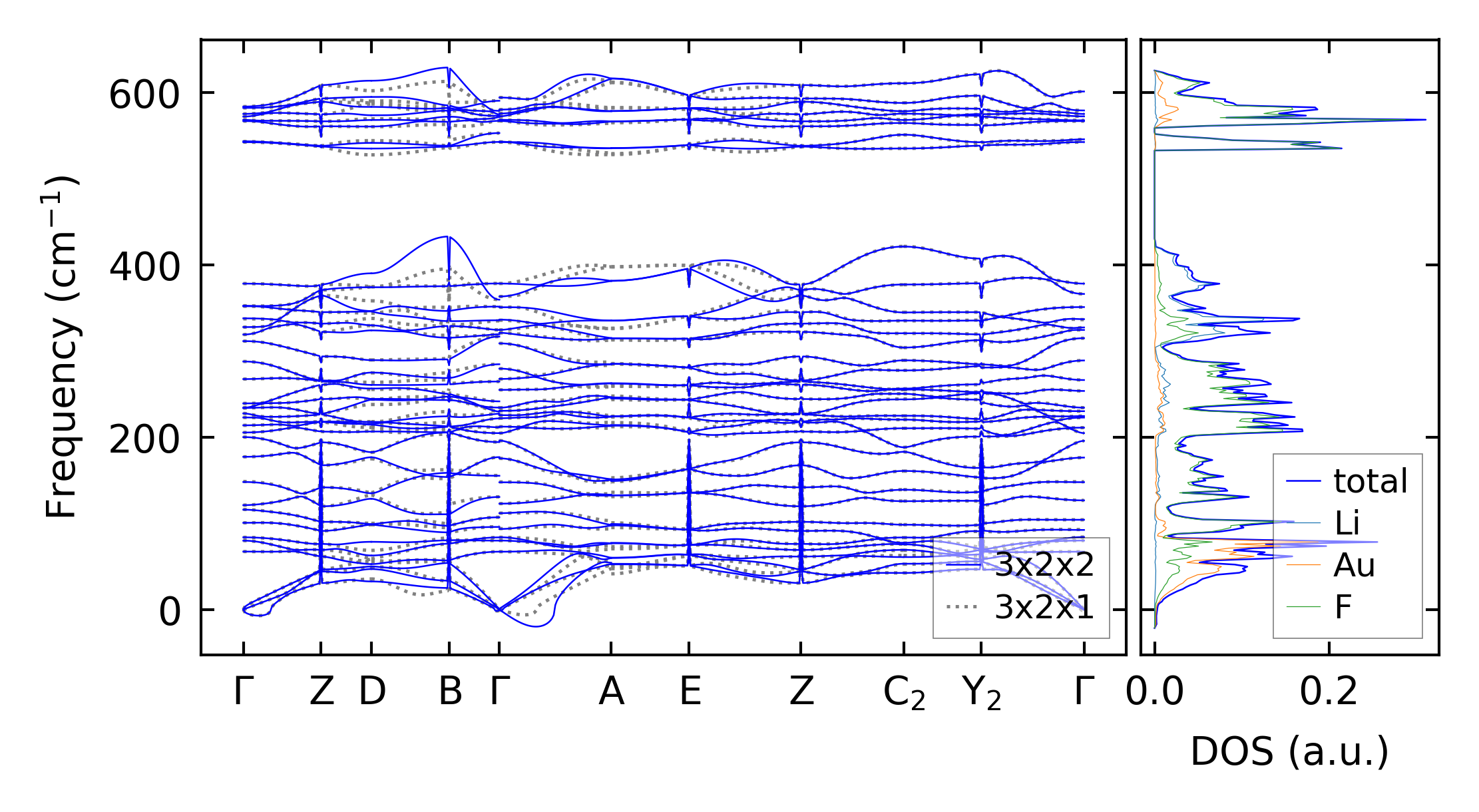
Harmonic properties

../../_images/fig_bandos12689.png

(a) Phonon dispersion and DOS

Force constants

../../_images/fig_fc28758.png

(a) Force constants w.r.t atomic distance

Summary

../../_images/fig_times15763.png

(a) Computation time