mp-554581-2/KSmP2S7/anharm

Equation of state

../../_images/fig_bm4558.png

(a) Equation of state

Harmonic properties

../../_images/fig_bandos_pr9029.png

(a) Phonon dispersion with participation ratio and DOS

../../_images/fig_bandos12732.png

(b) Phonon dispersion and DOS

../../_images/fig_thermo9029.png

(c) Thermodynamic properties

Grüneisen parameters

../../_images/fig_gru_all3599.png

(a) Grüneisen parameters

../../_images/fig_gruneisen3599.png

(b) Phonon dispersion with Grüneisen parameters

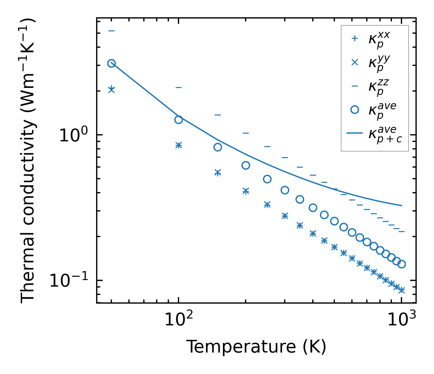
Thermal conductivity

3-phonon (LASSO), supercell 2x1x2 — q-mesh: 7x5x8, supercell: 2x1x2

../../_images/fig_kappa6799.png

(a) Temperature-dependent lattice thermal conductivity

../../_images/fig_kappa_vs_grain_size3646.png

(b) Peierls lattice thermal conductivity w.r.t grain size

Phonon lifetime and scattering rates

../../_images/fig_lifetime3566.png

(a) Phonon lifetime due to phonon-phonon scattering

../../_images/fig_scat_rates3565.png

(b) Phonon scattering rates

Cumulative and spectral thermal conductivity

../../_images/fig_cumu_frequency3566.png

(a) Spectral and cumulative thermal conductivity w.r.t frequency

../../_images/fig_cumu_mfp3565.png

(b) Spectral and cumulative thermal conductivity w.r.t MFP

Force constants

../../_images/fig_fc28791.png

(a) Force constants w.r.t atomic distance

Summary

../../_images/fig_times15812.png

(a) Computation time