mp-554610-2/PrZr2F11/anharm

Equation of state

../../_images/fig_bm4561.png

(a) Equation of state

Harmonic properties

../../_images/fig_bandos_pr9036.png

(a) Phonon dispersion with participation ratio and DOS

../../_images/fig_thermo9036.png

(b) Thermodynamic properties

Grüneisen parameters

../../_images/fig_gru_all3601.png

(a) Grüneisen parameters

../../_images/fig_gruneisen3601.png

(b) Phonon dispersion with Grüneisen parameters

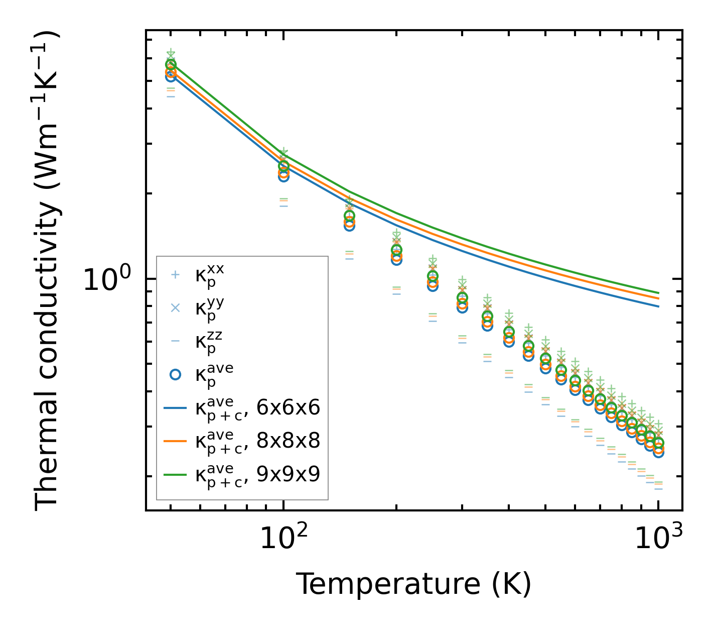
Thermal conductivity

3-phonon (LASSO) — q-mesh: 9x9x9, supercell: 2x1x1

../../_images/fig_kappa6801.png

(a) Temperature-dependent lattice thermal conductivity

../../_images/fig_kappa_vs_grain_size3648.png

(b) Peierls lattice thermal conductivity w.r.t grain size

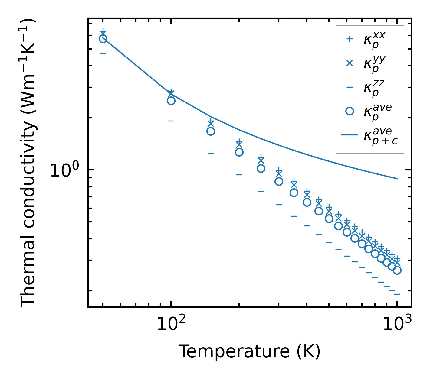
3-phonon (LASSO), supercell 2x2x1 — q-mesh: 9x9x9, supercell: 2x2x1

../../_images/fig_kappa6802.png

(a) Temperature-dependent lattice thermal conductivity

../../_images/fig_kappa_vs_grain_size3649.png

(b) Peierls lattice thermal conductivity w.r.t grain size

Phonon lifetime and scattering rates

../../_images/fig_lifetime3568.png

(a) Phonon lifetime due to phonon-phonon scattering

../../_images/fig_scat_rates3567.png

(b) Phonon scattering rates

Cumulative and spectral thermal conductivity

../../_images/fig_cumu_frequency3568.png

(a) Spectral and cumulative thermal conductivity w.r.t frequency

../../_images/fig_cumu_mfp3567.png

(b) Spectral and cumulative thermal conductivity w.r.t MFP

Force constants

../../_images/fig_fc28798.png

(a) Force constants w.r.t atomic distance

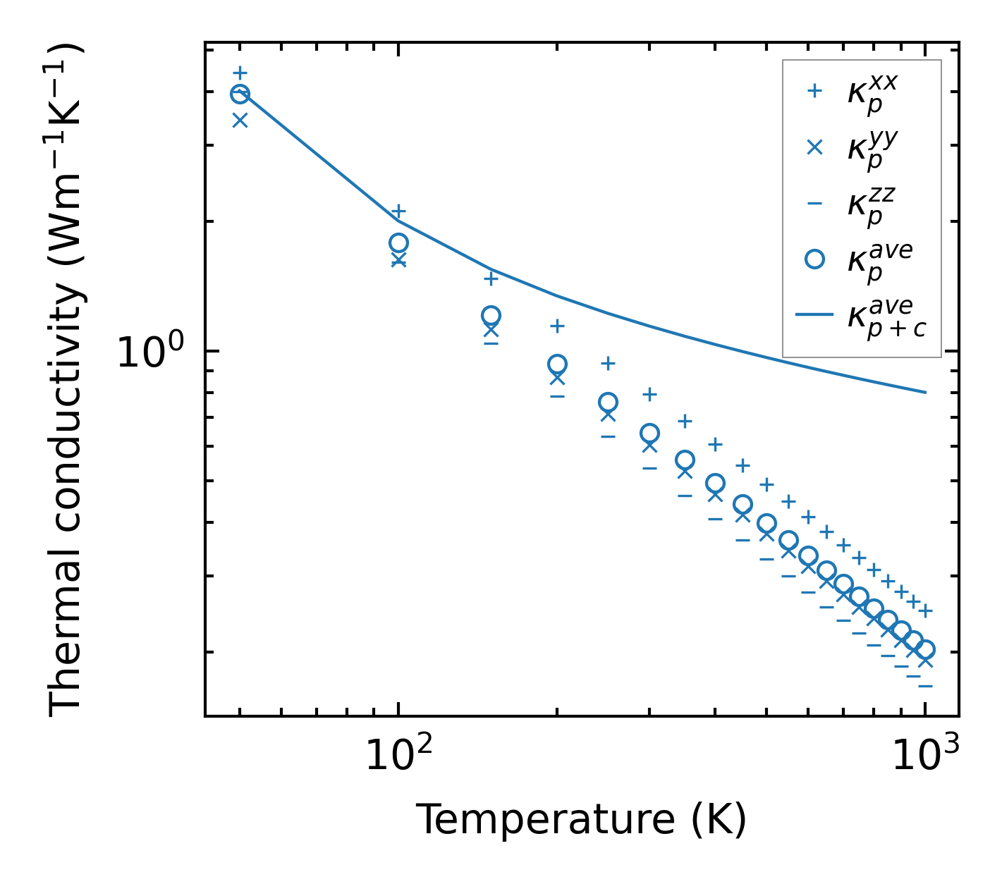
Summary

../../_images/fig_kappa6803.png

(a) Temperature-dependent lattice thermal conductivity

../../_images/fig_times15822.png

(b) Computation time