mp-554097-2/Sm3CuSiS7/anharm

Equation of state

../../_images/fig_bm4654.png

(a) Equation of state

Harmonic properties

../../_images/fig_bandos_pr9267.png

(a) Phonon dispersion with participation ratio and DOS

../../_images/fig_thermo9267.png

(b) Thermodynamic properties

Grüneisen parameters

../../_images/fig_gru_all3696.png

(a) Grüneisen parameters

../../_images/fig_gruneisen3696.png

(b) Phonon dispersion with Grüneisen parameters

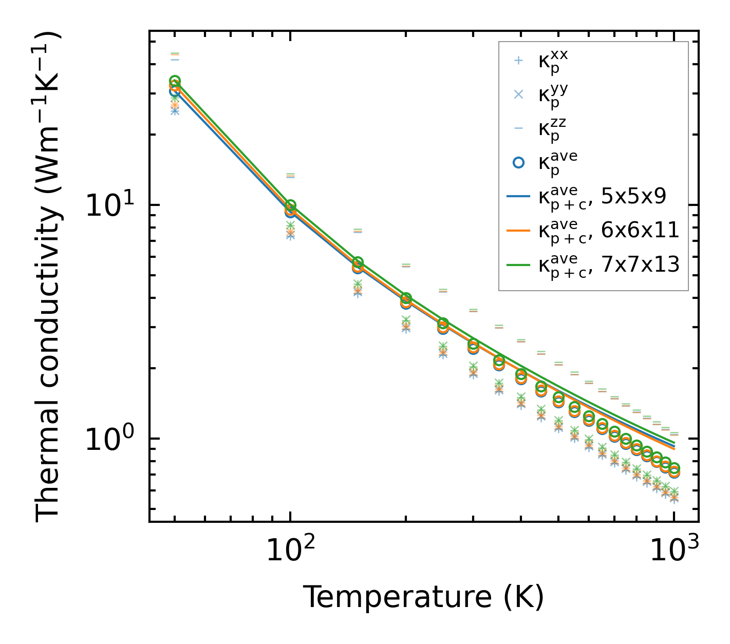
Thermal conductivity

3-phonon (LASSO) — q-mesh: 7x7x13, supercell: 1x1x2

../../_images/fig_kappa6979.png

(a) Temperature-dependent lattice thermal conductivity

../../_images/fig_kappa_vs_grain_size3745.png

(b) Peierls lattice thermal conductivity w.r.t grain size

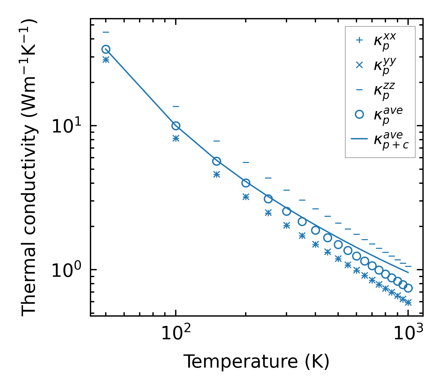
3-phonon (LASSO), supercell 2x2x2 — q-mesh: 7x7x13, supercell: 2x2x2

../../_images/fig_kappa6980.png

(a) Temperature-dependent lattice thermal conductivity

../../_images/fig_kappa_vs_grain_size3746.png

(b) Peierls lattice thermal conductivity w.r.t grain size

Phonon lifetime and scattering rates

../../_images/fig_lifetime3662.png

(a) Phonon lifetime due to phonon-phonon scattering

../../_images/fig_scat_rates3661.png

(b) Phonon scattering rates

Cumulative and spectral thermal conductivity

../../_images/fig_cumu_frequency3662.png

(a) Spectral and cumulative thermal conductivity w.r.t frequency

../../_images/fig_cumu_mfp3661.png

(b) Spectral and cumulative thermal conductivity w.r.t MFP

Force constants

../../_images/fig_fc29029.png

(a) Force constants w.r.t atomic distance

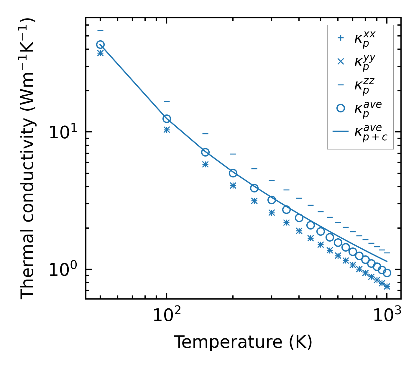
Summary

../../_images/fig_kappa6981.png

(a) Temperature-dependent lattice thermal conductivity

../../_images/fig_times16148.png

(b) Computation time