mp-554759-2/SrBNO/anharm

Equation of state

../../_images/fig_bm4582.png

(a) Equation of state

Harmonic properties

../../_images/fig_bandos_pr9076.png

(a) Phonon dispersion with participation ratio and DOS

../../_images/fig_bandos12795.png

(b) Phonon dispersion and DOS

../../_images/fig_thermo9076.png

(c) Thermodynamic properties

Grüneisen parameters

../../_images/fig_gru_all3613.png

(a) Grüneisen parameters

../../_images/fig_gruneisen3613.png

(b) Phonon dispersion with Grüneisen parameters

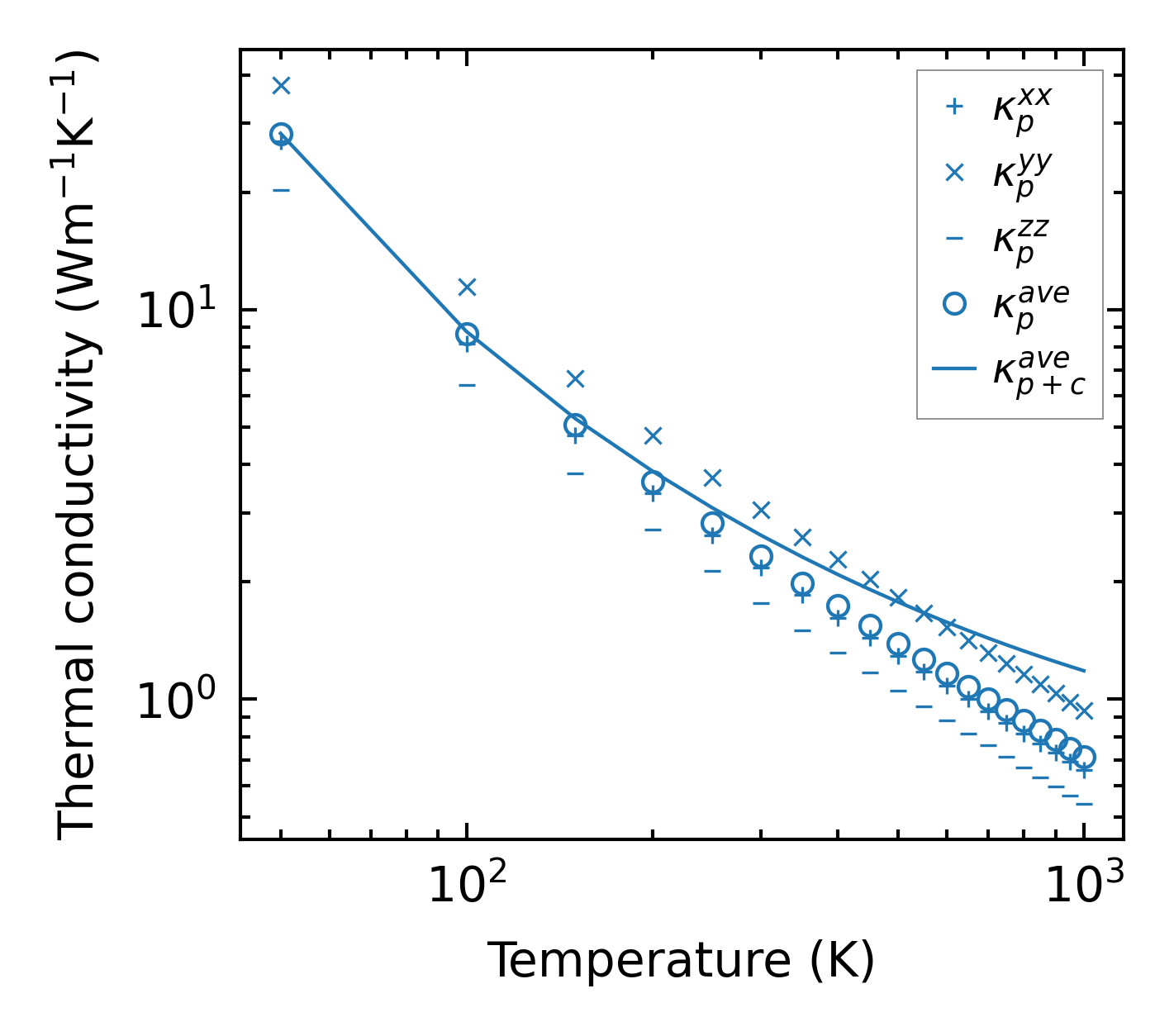
Thermal conductivity

3-phonon (LASSO), supercell 2x2x1 — q-mesh: 11x9x5, supercell: 2x2x1

../../_images/fig_kappa6823.png

(a) Temperature-dependent lattice thermal conductivity

../../_images/fig_kappa_vs_grain_size3661.png

(b) Peierls lattice thermal conductivity w.r.t grain size

Phonon lifetime and scattering rates

../../_images/fig_lifetime3579.png

(a) Phonon lifetime due to phonon-phonon scattering

../../_images/fig_scat_rates3578.png

(b) Phonon scattering rates

Cumulative and spectral thermal conductivity

../../_images/fig_cumu_frequency3579.png

(a) Spectral and cumulative thermal conductivity w.r.t frequency

../../_images/fig_cumu_mfp3578.png

(b) Spectral and cumulative thermal conductivity w.r.t MFP

Force constants

../../_images/fig_fc28838.png

(a) Force constants w.r.t atomic distance

Summary

../../_images/fig_times15884.png

(a) Computation time