mp-554412-2/RbTaP2O8/harm

Equation of state

../../_images/fig_bm4537.png

(a) Equation of state

Harmonic properties

../../_images/fig_bandos_pr8993.png

(a) Phonon dispersion with participation ratio and DOS

../../_images/fig_bandos12680.png

(b) Phonon dispersion and DOS

../../_images/fig_thermo8993.png

(c) Thermodynamic properties

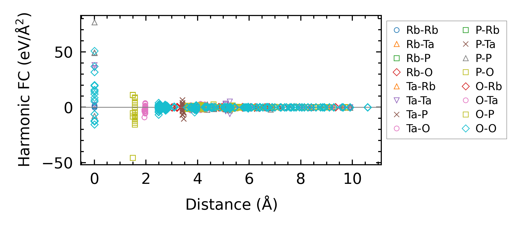
Force constants

../../_images/fig_fc28754.png

(a) Force constants w.r.t atomic distance

Summary

../../_images/fig_times15753.png

(a) Computation time