mp-554063/SmSeClO3/anharm

Harmonic properties

../../_images/fig_bandos_pr9252.png

(a) Phonon dispersion with participation ratio and DOS

../../_images/fig_thermo9252.png

(b) Thermodynamic properties

Grüneisen parameters

../../_images/fig_gru_all3689.png

(a) Grüneisen parameters

../../_images/fig_gruneisen3689.png

(b) Phonon dispersion with Grüneisen parameters

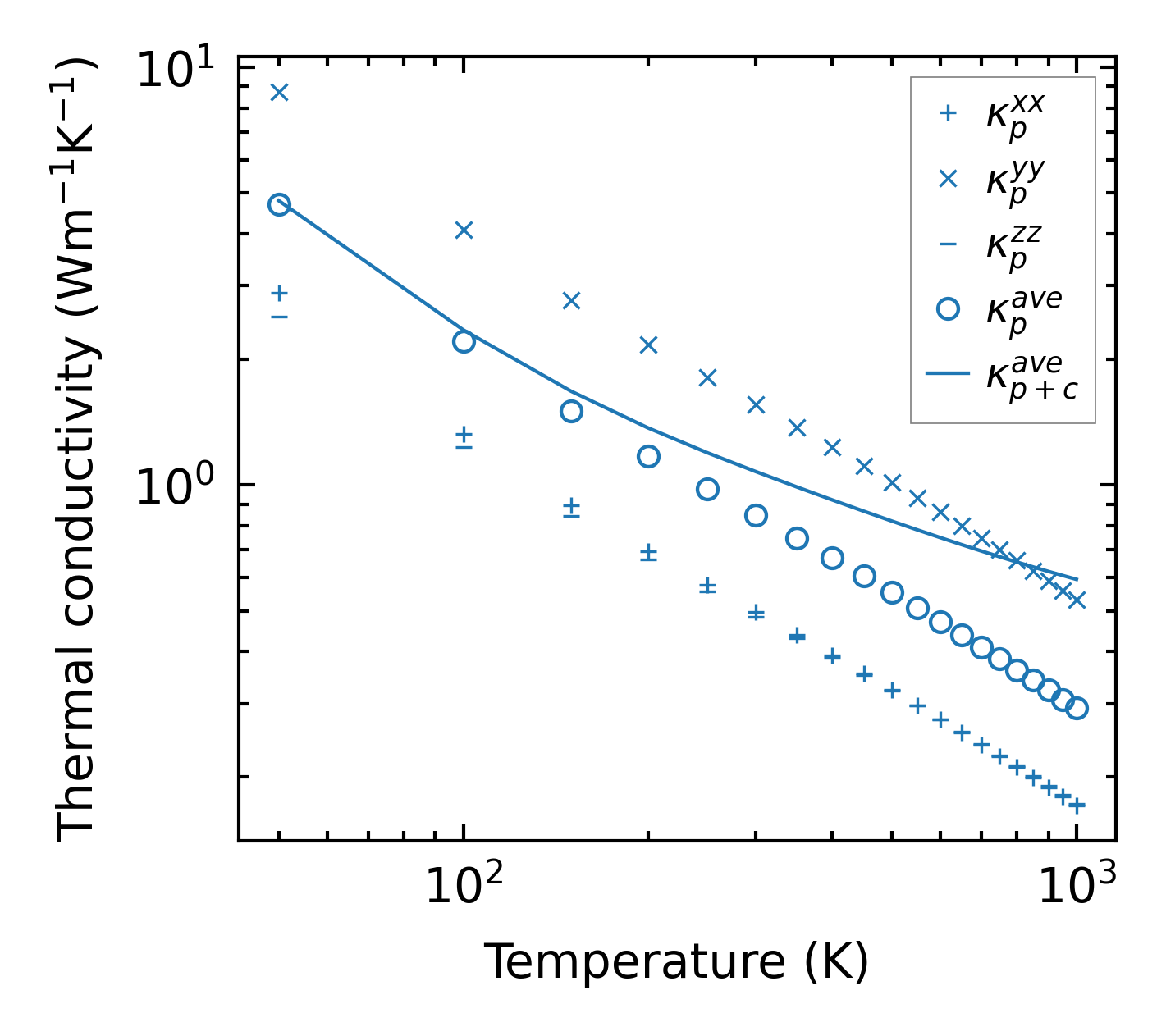
Thermal conductivity

3-phonon (LASSO) — q-mesh: 9x10x8, supercell: 2x2x1

../../_images/fig_kappa6968.png

(a) Temperature-dependent lattice thermal conductivity

../../_images/fig_kappa_vs_grain_size3738.png

(b) Peierls lattice thermal conductivity w.r.t grain size

Phonon lifetime and scattering rates

../../_images/fig_lifetime3655.png

(a) Phonon lifetime due to phonon-phonon scattering

../../_images/fig_scat_rates3654.png

(b) Phonon scattering rates

Cumulative and spectral thermal conductivity

../../_images/fig_cumu_frequency3655.png

(a) Spectral and cumulative thermal conductivity w.r.t frequency

../../_images/fig_cumu_mfp3654.png

(b) Spectral and cumulative thermal conductivity w.r.t MFP

Force constants

../../_images/fig_fc29014.png

(a) Force constants w.r.t atomic distance

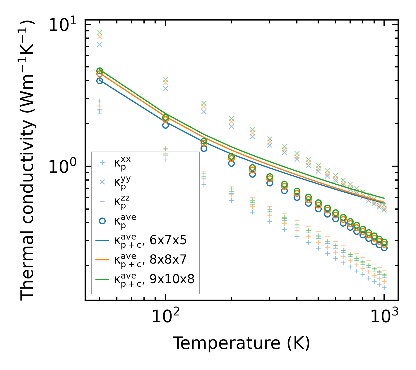
Summary

../../_images/fig_kappa6969.png

(a) Temperature-dependent lattice thermal conductivity

../../_images/fig_times16130.png

(b) Computation time