mp-554542/Mg3BO3F3/anharm

Harmonic properties

../../_images/fig_bandos_pr9017.png

(a) Phonon dispersion with participation ratio and DOS

../../_images/fig_thermo9017.png

(b) Thermodynamic properties

Grüneisen parameters

../../_images/fig_gru_all3596.png

(a) Grüneisen parameters

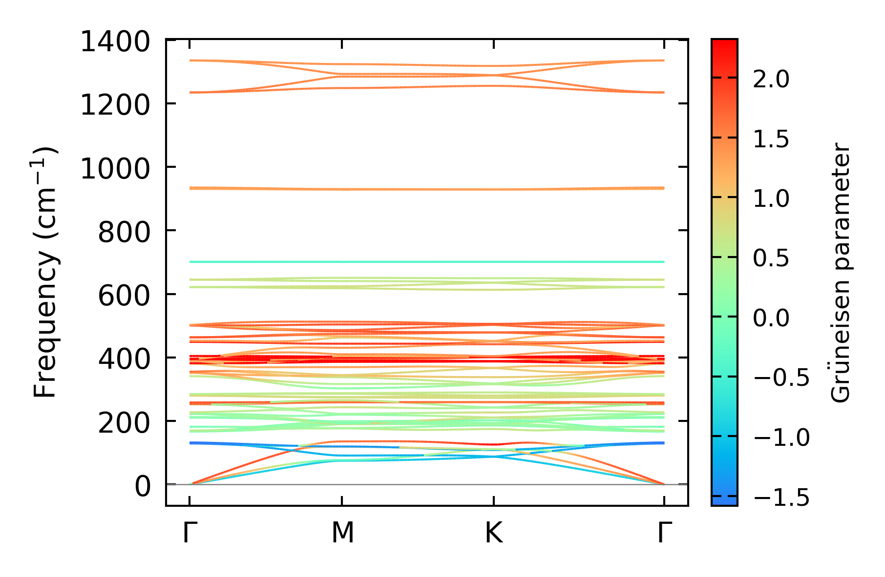
../../_images/fig_gruneisen3596.png

(b) Phonon dispersion with Grüneisen parameters

Thermal conductivity

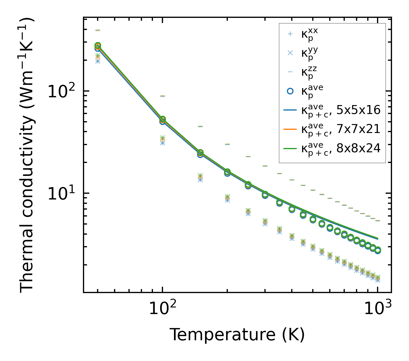
3-phonon (LASSO) — q-mesh: 8x8x24, supercell: 1x1x3

../../_images/fig_kappa6793.png

(a) Temperature-dependent lattice thermal conductivity

../../_images/fig_kappa_vs_grain_size3643.png

(b) Peierls lattice thermal conductivity w.r.t grain size

Phonon lifetime and scattering rates

../../_images/fig_lifetime3563.png

(a) Phonon lifetime due to phonon-phonon scattering

../../_images/fig_scat_rates3562.png

(b) Phonon scattering rates

Cumulative and spectral thermal conductivity

../../_images/fig_cumu_frequency3563.png

(a) Spectral and cumulative thermal conductivity w.r.t frequency

../../_images/fig_cumu_mfp3562.png

(b) Spectral and cumulative thermal conductivity w.r.t MFP

Force constants

../../_images/fig_fc28779.png

(a) Force constants w.r.t atomic distance

Summary

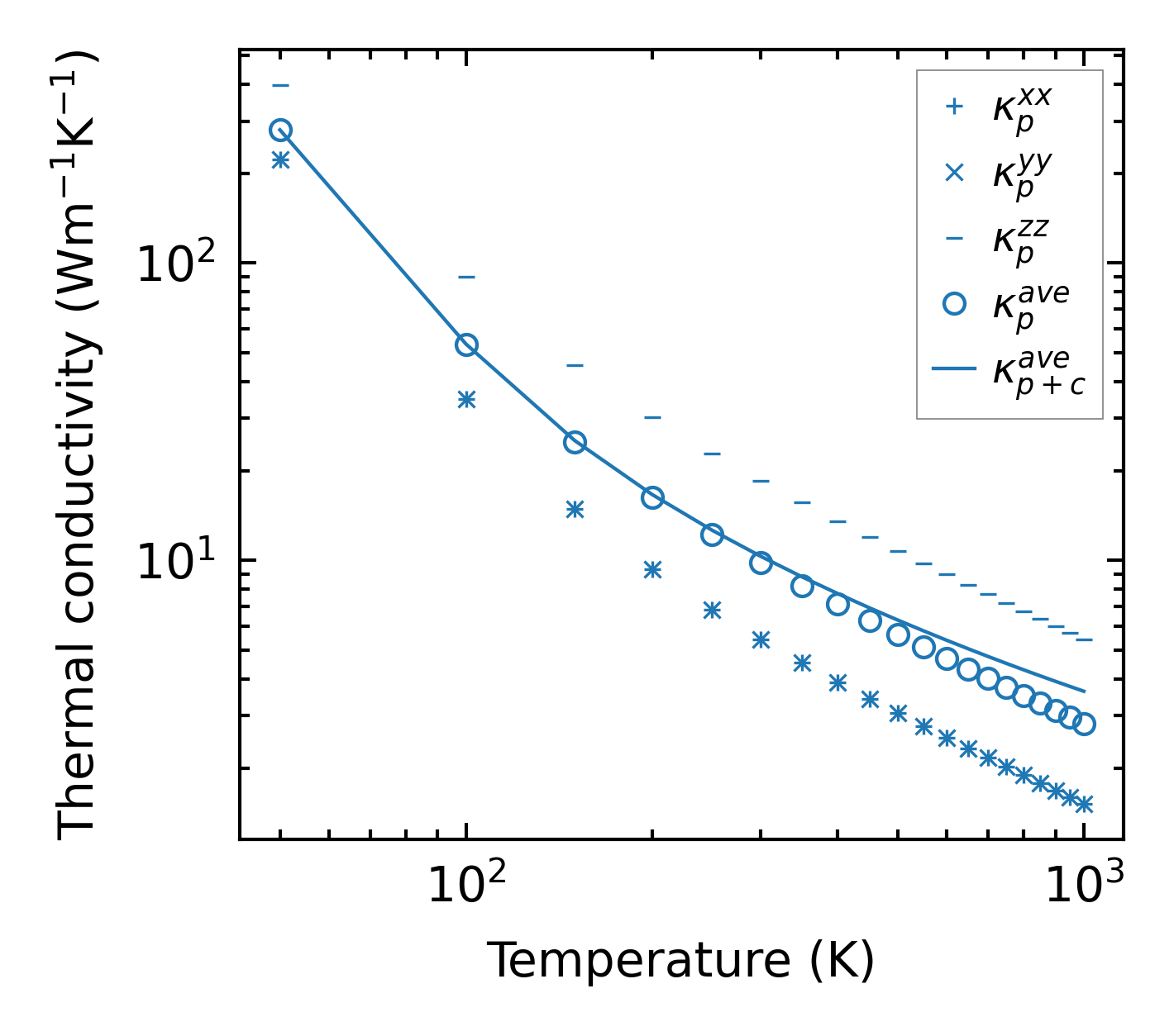
../../_images/fig_kappa6794.png

(a) Temperature-dependent lattice thermal conductivity

../../_images/fig_times15796.png

(b) Computation time