mp-554540/Li5ReO6/anharm

Harmonic properties

../../_images/fig_bandos_pr9015.png

(a) Phonon dispersion with participation ratio and DOS

../../_images/fig_thermo9015.png

(b) Thermodynamic properties

Grüneisen parameters

../../_images/fig_gru_all3594.png

(a) Grüneisen parameters

../../_images/fig_gruneisen3594.png

(b) Phonon dispersion with Grüneisen parameters

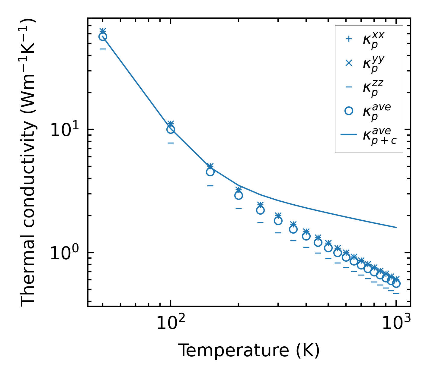
Thermal conductivity

3-phonon (LASSO) — q-mesh: 15x15x5, supercell: 2x2x1

../../_images/fig_kappa6789.png

(a) Temperature-dependent lattice thermal conductivity

../../_images/fig_kappa_vs_grain_size3641.png

(b) Peierls lattice thermal conductivity w.r.t grain size

Phonon lifetime and scattering rates

../../_images/fig_lifetime3561.png

(a) Phonon lifetime due to phonon-phonon scattering

../../_images/fig_scat_rates3560.png

(b) Phonon scattering rates

Cumulative and spectral thermal conductivity

../../_images/fig_cumu_frequency3561.png

(a) Spectral and cumulative thermal conductivity w.r.t frequency

../../_images/fig_cumu_mfp3560.png

(b) Spectral and cumulative thermal conductivity w.r.t MFP

Force constants

../../_images/fig_fc28777.png

(a) Force constants w.r.t atomic distance

Summary

../../_images/fig_kappa6790.png

(a) Temperature-dependent lattice thermal conductivity

../../_images/fig_times15794.png

(b) Computation time