mp-554724-2/CuP4S3I/anharm

Harmonic properties

../../_images/fig_bandos_pr9066.png

(a) Phonon dispersion with participation ratio and DOS

../../_images/fig_thermo9066.png

(b) Thermodynamic properties

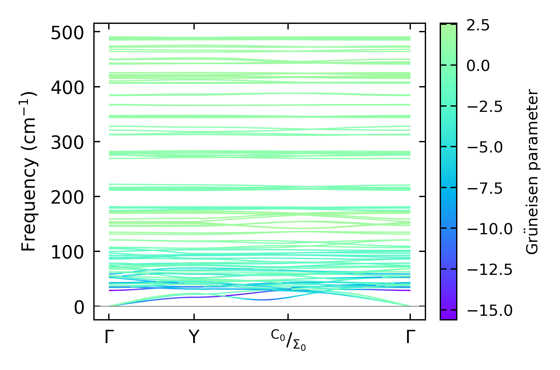
Grüneisen parameters

../../_images/fig_gru_all3609.png

(a) Grüneisen parameters

../../_images/fig_gruneisen3609.png

(b) Phonon dispersion with Grüneisen parameters

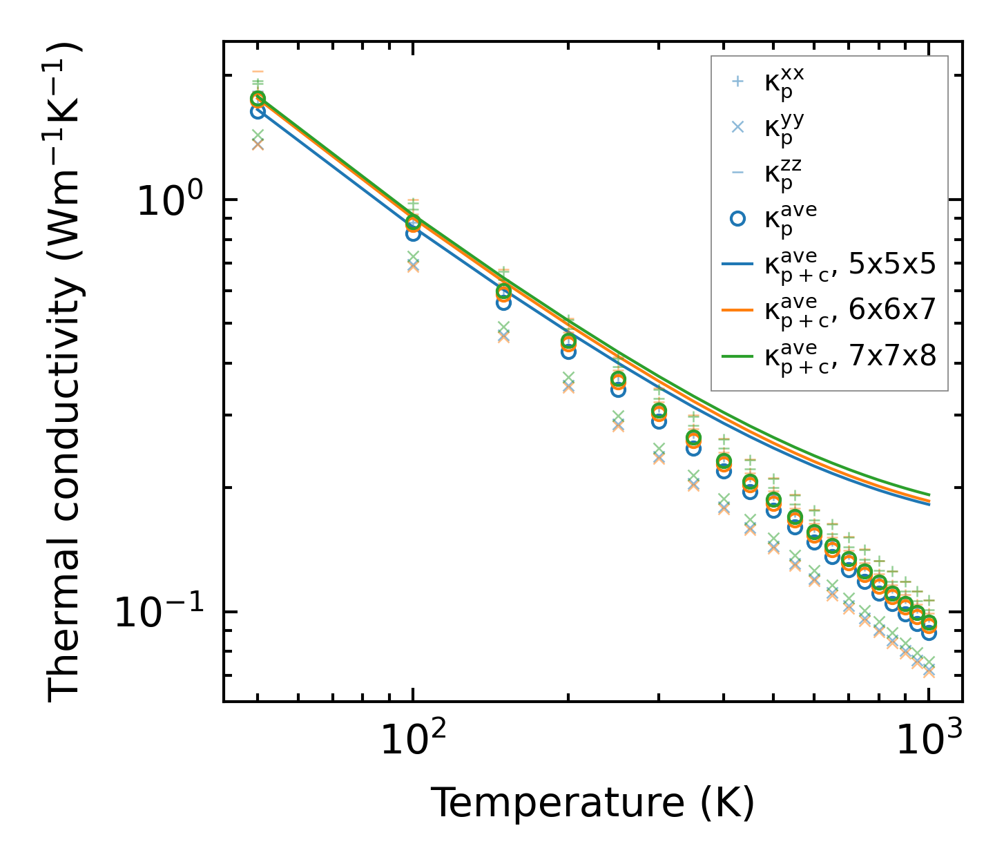
Thermal conductivity

3-phonon (LASSO) — q-mesh: 7x7x8, supercell: 2x1x1

../../_images/fig_kappa6816.png

(a) Temperature-dependent lattice thermal conductivity

../../_images/fig_kappa_vs_grain_size3657.png

(b) Peierls lattice thermal conductivity w.r.t grain size

Phonon lifetime and scattering rates

../../_images/fig_lifetime3575.png

(a) Phonon lifetime due to phonon-phonon scattering

../../_images/fig_scat_rates3574.png

(b) Phonon scattering rates

Cumulative and spectral thermal conductivity

../../_images/fig_cumu_frequency3575.png

(a) Spectral and cumulative thermal conductivity w.r.t frequency

../../_images/fig_cumu_mfp3574.png

(b) Spectral and cumulative thermal conductivity w.r.t MFP

Force constants

../../_images/fig_fc28828.png

(a) Force constants w.r.t atomic distance

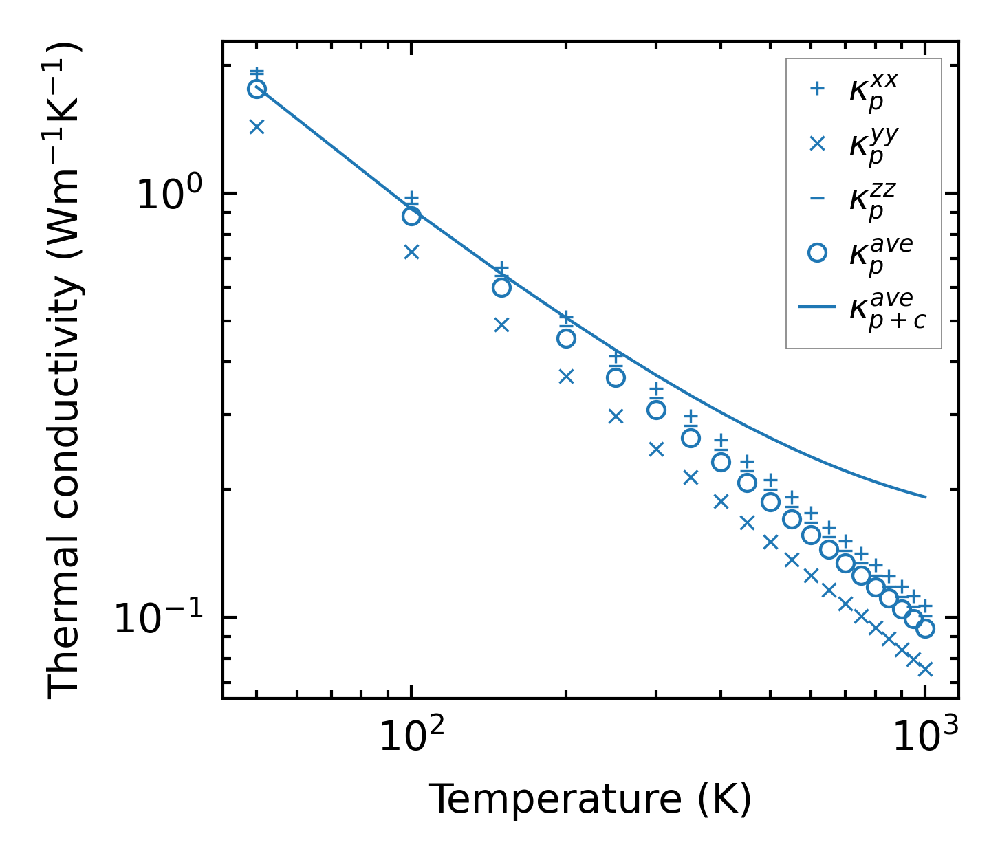
Summary

../../_images/fig_kappa6817.png

(a) Temperature-dependent lattice thermal conductivity

../../_images/fig_times15864.png

(b) Computation time