mp-554034/KLa2NbO6/anharm

Equation of state

../../_images/fig_bm4646.png

(a) Equation of state

Harmonic properties

../../_images/fig_bandos_pr9244.png

(a) Phonon dispersion with participation ratio and DOS

../../_images/fig_bandos12965.png

(b) Phonon dispersion and DOS

../../_images/fig_thermo9244.png

(c) Thermodynamic properties

Grüneisen parameters

../../_images/fig_gru_all3686.png

(a) Grüneisen parameters

../../_images/fig_gruneisen3686.png

(b) Phonon dispersion with Grüneisen parameters

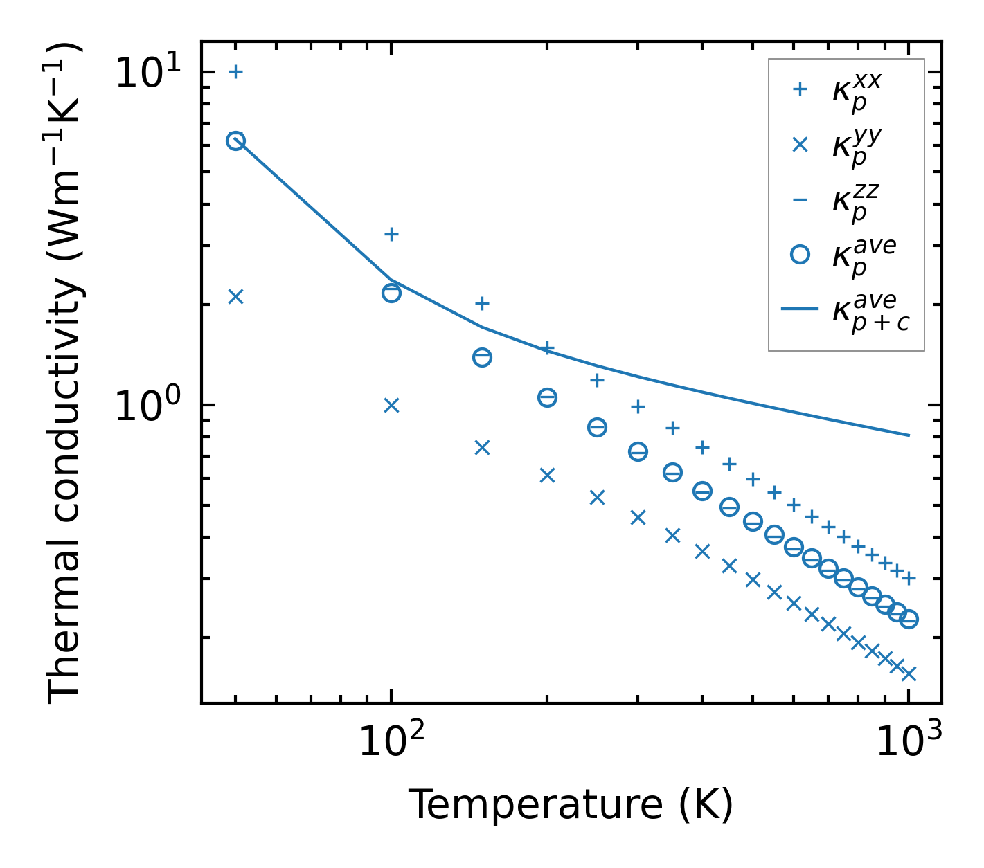
Thermal conductivity

3-phonon (LASSO), supercell 1x2x2 — q-mesh: 11x11x9, supercell: 1x2x2

../../_images/fig_kappa6963.png

(a) Temperature-dependent lattice thermal conductivity

../../_images/fig_kappa_vs_grain_size3735.png

(b) Peierls lattice thermal conductivity w.r.t grain size

Phonon lifetime and scattering rates

../../_images/fig_lifetime3652.png

(a) Phonon lifetime due to phonon-phonon scattering

../../_images/fig_scat_rates3651.png

(b) Phonon scattering rates

Cumulative and spectral thermal conductivity

../../_images/fig_cumu_frequency3652.png

(a) Spectral and cumulative thermal conductivity w.r.t frequency

../../_images/fig_cumu_mfp3651.png

(b) Spectral and cumulative thermal conductivity w.r.t MFP

Force constants

../../_images/fig_fc29006.png

(a) Force constants w.r.t atomic distance

Summary

../../_images/fig_times16119.png

(a) Computation time