mp-754979/Y3AlO6/anharm

Equation of state

../../_images/fig_bm1786.png

(a) Equation of state

Harmonic properties

../../_images/fig_bandos_pr3630.png

(a) Phonon dispersion with participation ratio and DOS

../../_images/fig_thermo3630.png

(b) Thermodynamic properties

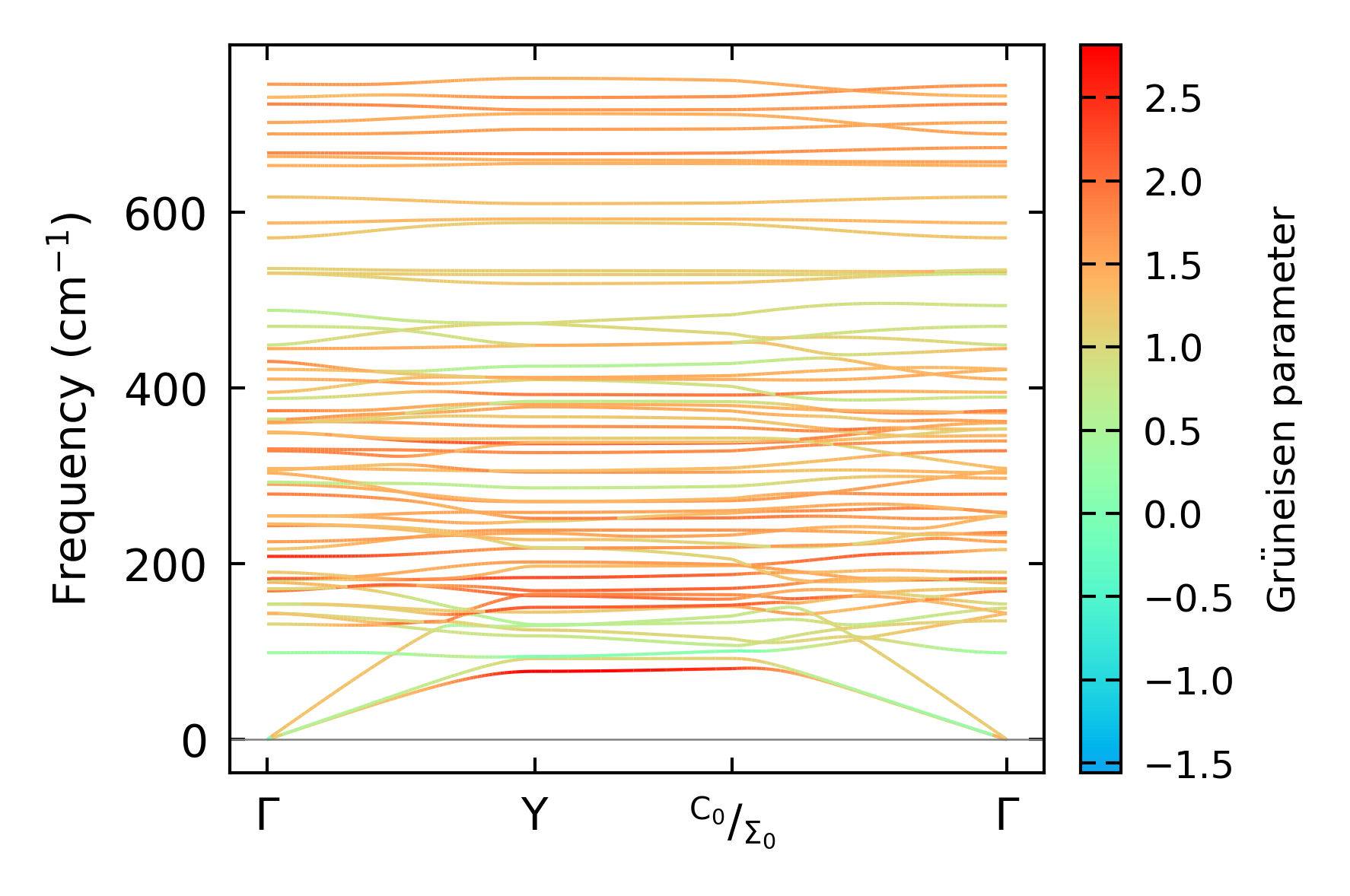
Grüneisen parameters

../../_images/fig_gru_all1628.png

(a) Grüneisen parameters

../../_images/fig_gruneisen1628.png

(b) Phonon dispersion with Grüneisen parameters

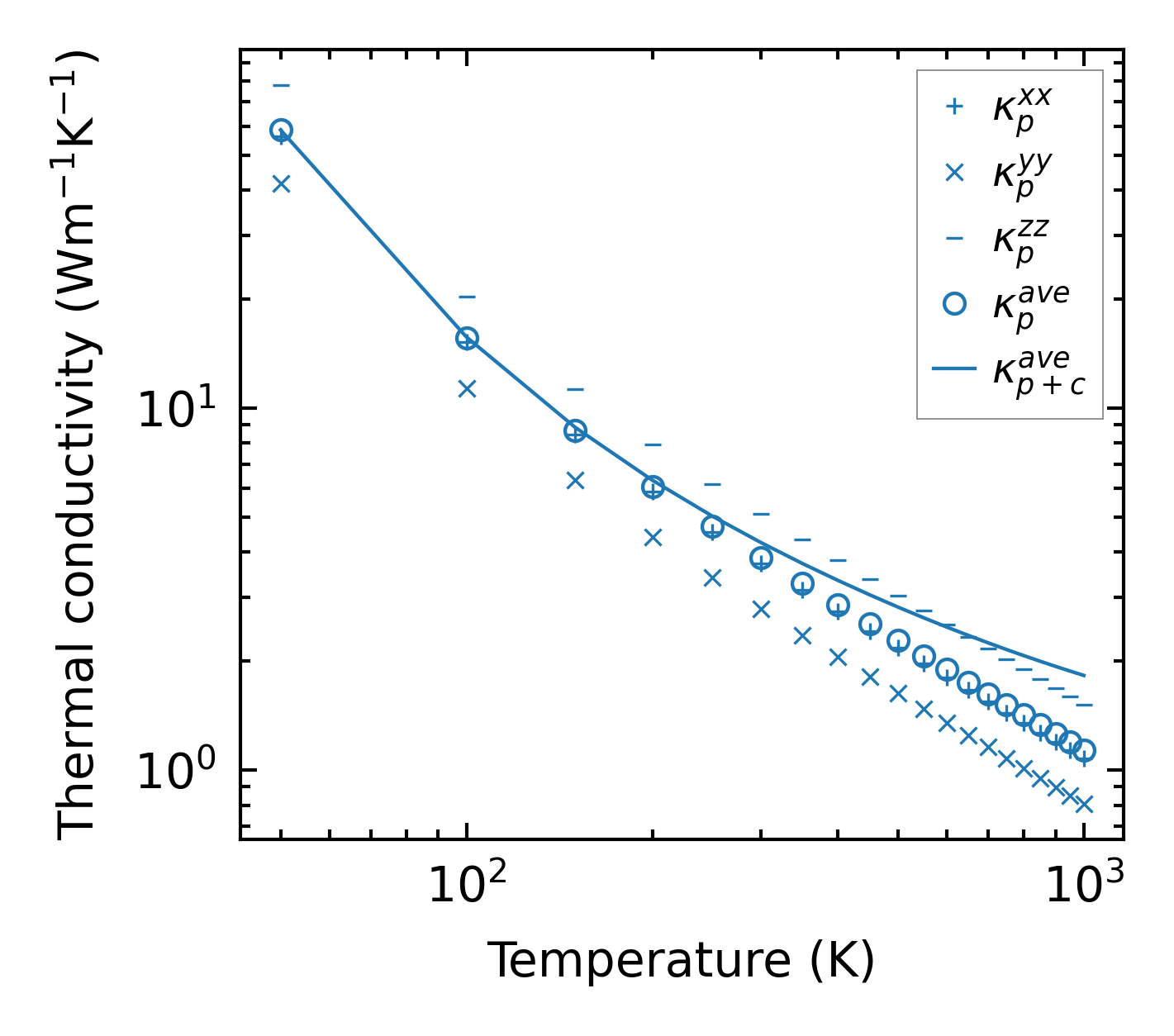
Thermal conductivity

3-phonon (LASSO) — q-mesh: 10x10x13, supercell: 1x1x2

../../_images/fig_kappa3131.png

(a) Temperature-dependent lattice thermal conductivity

../../_images/fig_kappa_vs_grain_size1649.png

(b) Peierls lattice thermal conductivity w.r.t grain size

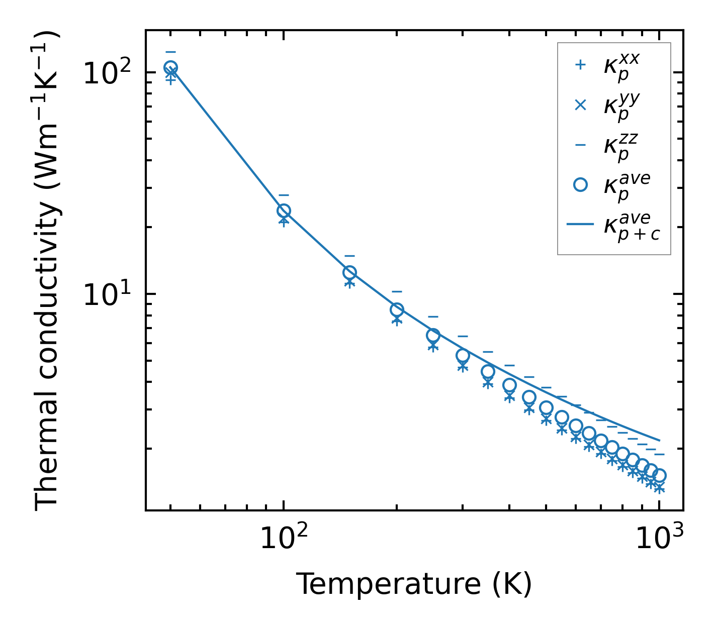
3-phonon (LASSO), supercell 2x1x2 — q-mesh: 10x10x13, supercell: 2x1x2

../../_images/fig_kappa3132.png

(a) Temperature-dependent lattice thermal conductivity

../../_images/fig_kappa_vs_grain_size1650.png

(b) Peierls lattice thermal conductivity w.r.t grain size

Phonon lifetime and scattering rates

../../_images/fig_lifetime1618.png

(a) Phonon lifetime due to phonon-phonon scattering

../../_images/fig_scat_rates1617.png

(b) Phonon scattering rates

Cumulative and spectral thermal conductivity

../../_images/fig_cumu_frequency1618.png

(a) Spectral and cumulative thermal conductivity w.r.t frequency

../../_images/fig_cumu_mfp1618.png

(b) Spectral and cumulative thermal conductivity w.r.t MFP

Force constants

../../_images/fig_fc23447.png

(a) Force constants w.r.t atomic distance

Summary

../../_images/fig_kappa3133.png

(a) Temperature-dependent lattice thermal conductivity

../../_images/fig_times6314.png

(b) Computation time