mp-754114/SrSc2O4/anharm

Harmonic properties

../../_images/fig_bandos_pr3796.png

(a) Phonon dispersion with participation ratio and DOS

../../_images/fig_thermo3796.png

(b) Thermodynamic properties

Grüneisen parameters

../../_images/fig_gru_all1711.png

(a) Grüneisen parameters

../../_images/fig_gruneisen1711.png

(b) Phonon dispersion with Grüneisen parameters

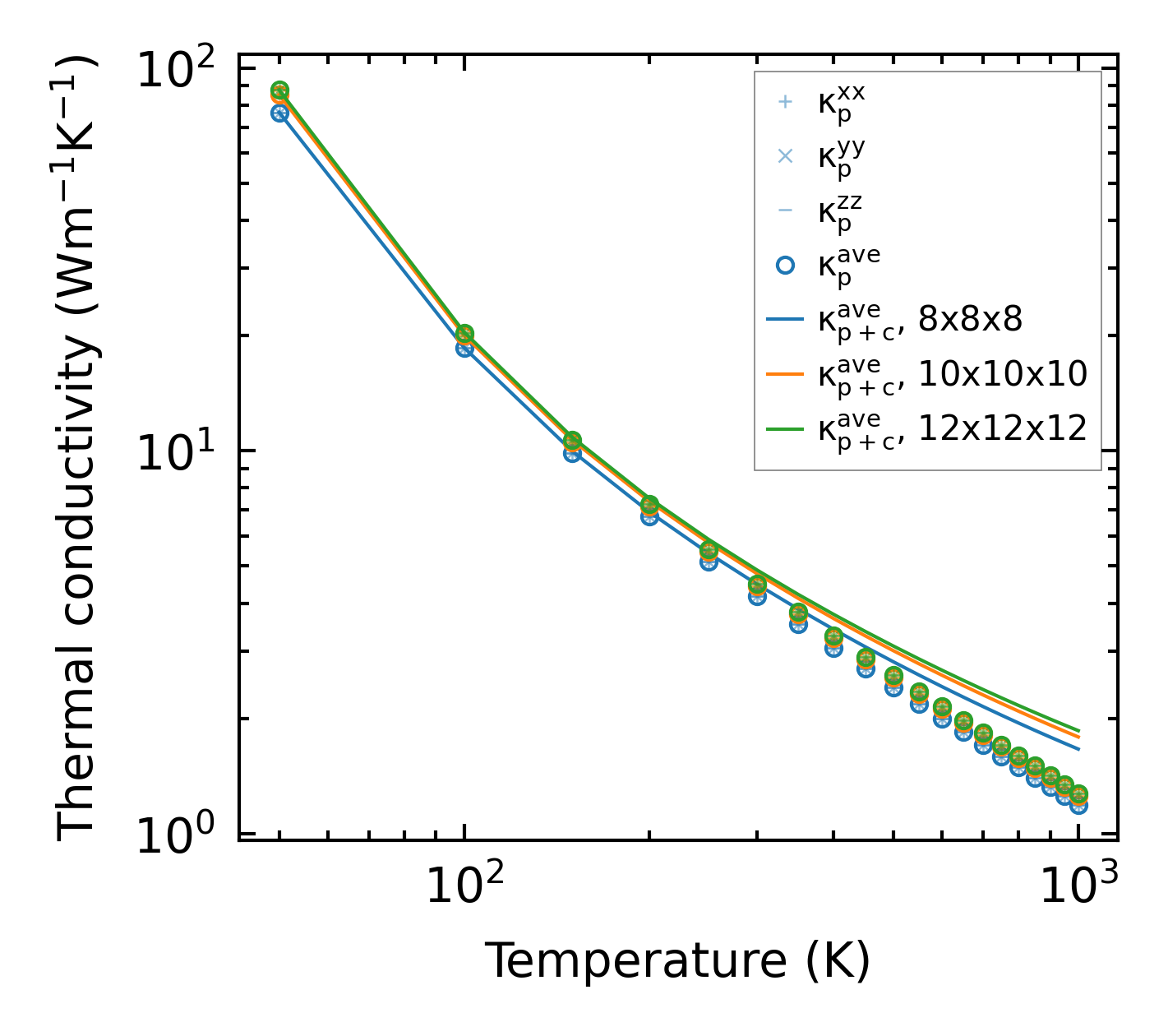
Thermal conductivity

3-phonon (LASSO) — q-mesh: 12x12x12, supercell: 1x1x1

../../_images/fig_kappa3287.png

(a) Temperature-dependent lattice thermal conductivity

../../_images/fig_kappa_vs_grain_size1735.png

(b) Peierls lattice thermal conductivity w.r.t grain size

Phonon lifetime and scattering rates

../../_images/fig_lifetime1701.png

(a) Phonon lifetime due to phonon-phonon scattering

../../_images/fig_scat_rates1700.png

(b) Phonon scattering rates

Cumulative and spectral thermal conductivity

../../_images/fig_cumu_frequency1701.png

(a) Spectral and cumulative thermal conductivity w.r.t frequency

../../_images/fig_cumu_mfp1701.png

(b) Spectral and cumulative thermal conductivity w.r.t MFP

Force constants

../../_images/fig_fc23611.png

(a) Force constants w.r.t atomic distance

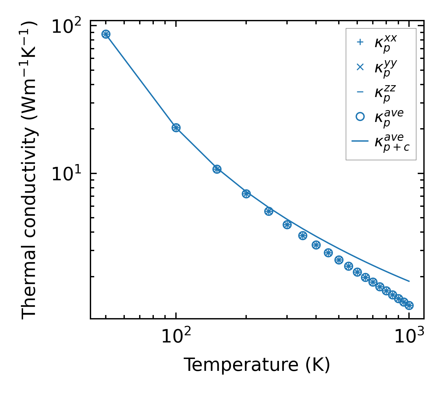
Summary

../../_images/fig_kappa3288.png

(a) Temperature-dependent lattice thermal conductivity

../../_images/fig_times6571.png

(b) Computation time