mp-754852/BaSrI4/anharm

Harmonic properties

../../_images/fig_bandos_pr3607.png

(a) Phonon dispersion with participation ratio and DOS

../../_images/fig_thermo3607.png

(b) Thermodynamic properties

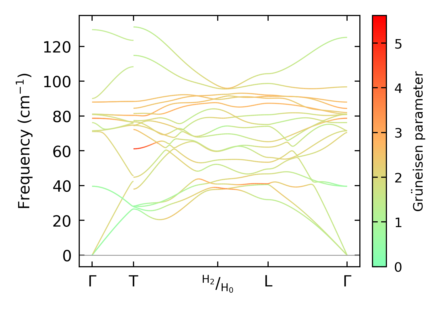
Grüneisen parameters

../../_images/fig_gru_all1618.png

(a) Grüneisen parameters

../../_images/fig_gruneisen1618.png

(b) Phonon dispersion with Grüneisen parameters

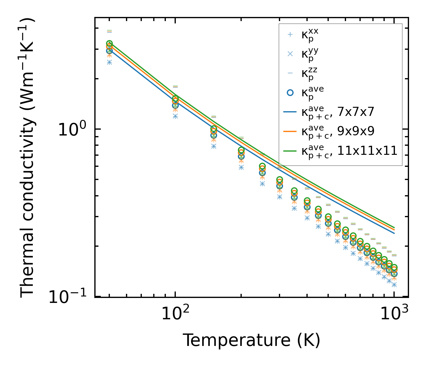
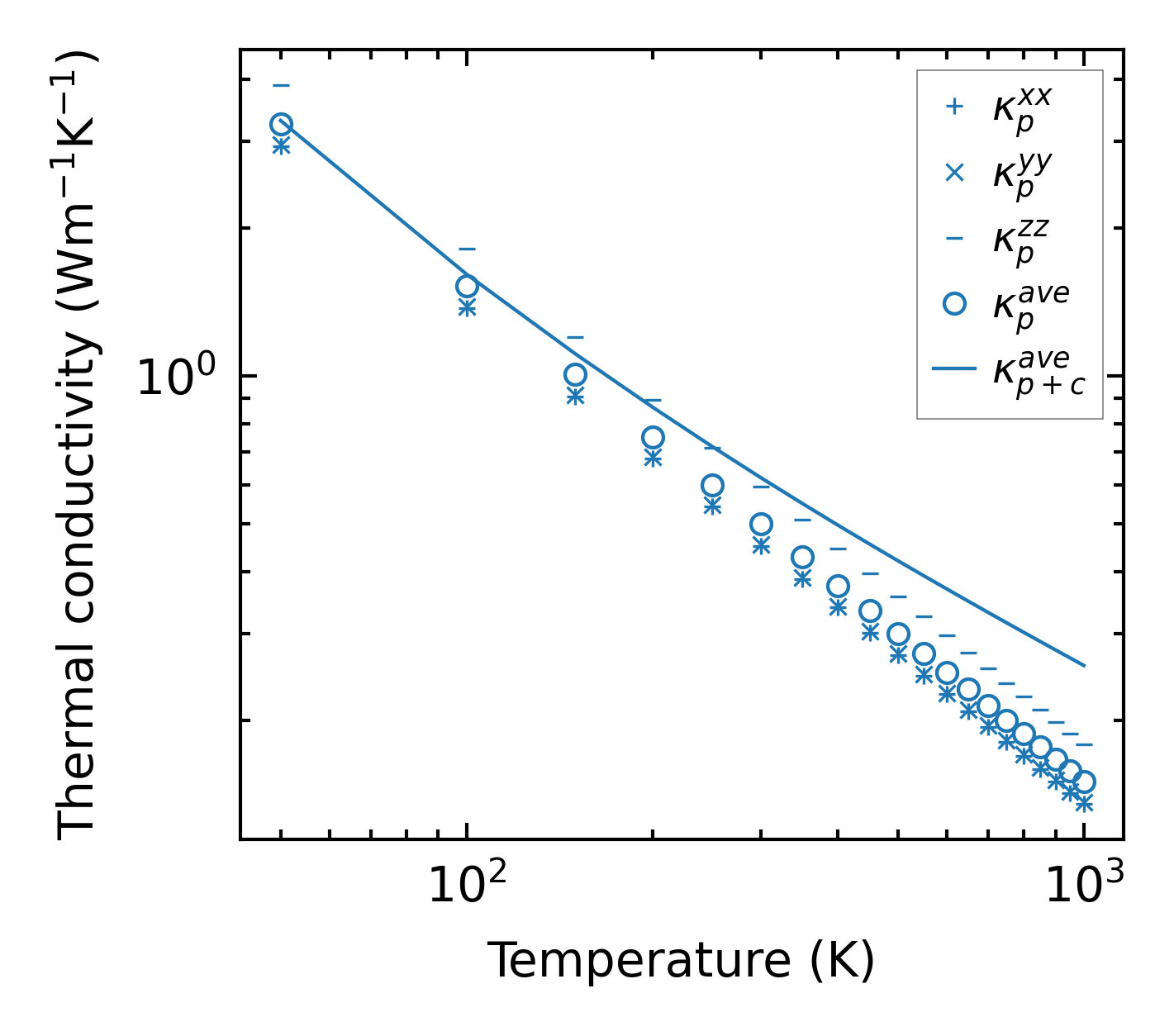
Thermal conductivity

3-phonon (LASSO) — q-mesh: 11x11x11, supercell: 2x2x1

../../_images/fig_kappa3111.png

(a) Temperature-dependent lattice thermal conductivity

../../_images/fig_kappa_vs_grain_size1639.png

(b) Peierls lattice thermal conductivity w.r.t grain size

Phonon lifetime and scattering rates

../../_images/fig_lifetime1608.png

(a) Phonon lifetime due to phonon-phonon scattering

../../_images/fig_scat_rates1607.png

(b) Phonon scattering rates

Cumulative and spectral thermal conductivity

../../_images/fig_cumu_frequency1608.png

(a) Spectral and cumulative thermal conductivity w.r.t frequency

../../_images/fig_cumu_mfp1608.png

(b) Spectral and cumulative thermal conductivity w.r.t MFP

Force constants

../../_images/fig_fc23425.png

(a) Force constants w.r.t atomic distance

Summary

../../_images/fig_kappa3112.png

(a) Temperature-dependent lattice thermal conductivity

../../_images/fig_times6281.png

(b) Computation time