mp-754794-2/La2S2O/anharm

Harmonic properties

../../_images/fig_bandos_pr3592.png

(a) Phonon dispersion with participation ratio and DOS

../../_images/fig_thermo3592.png

(b) Thermodynamic properties

Grüneisen parameters

../../_images/fig_gru_all1613.png

(a) Grüneisen parameters

../../_images/fig_gruneisen1613.png

(b) Phonon dispersion with Grüneisen parameters

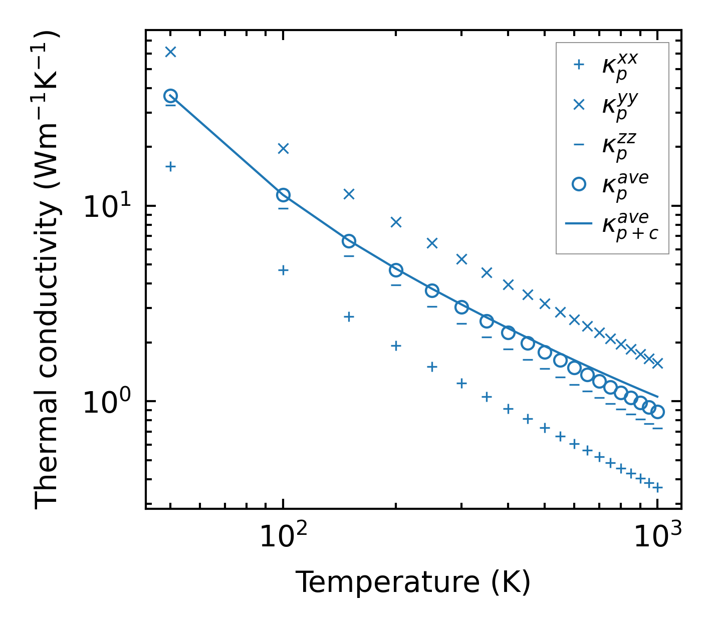
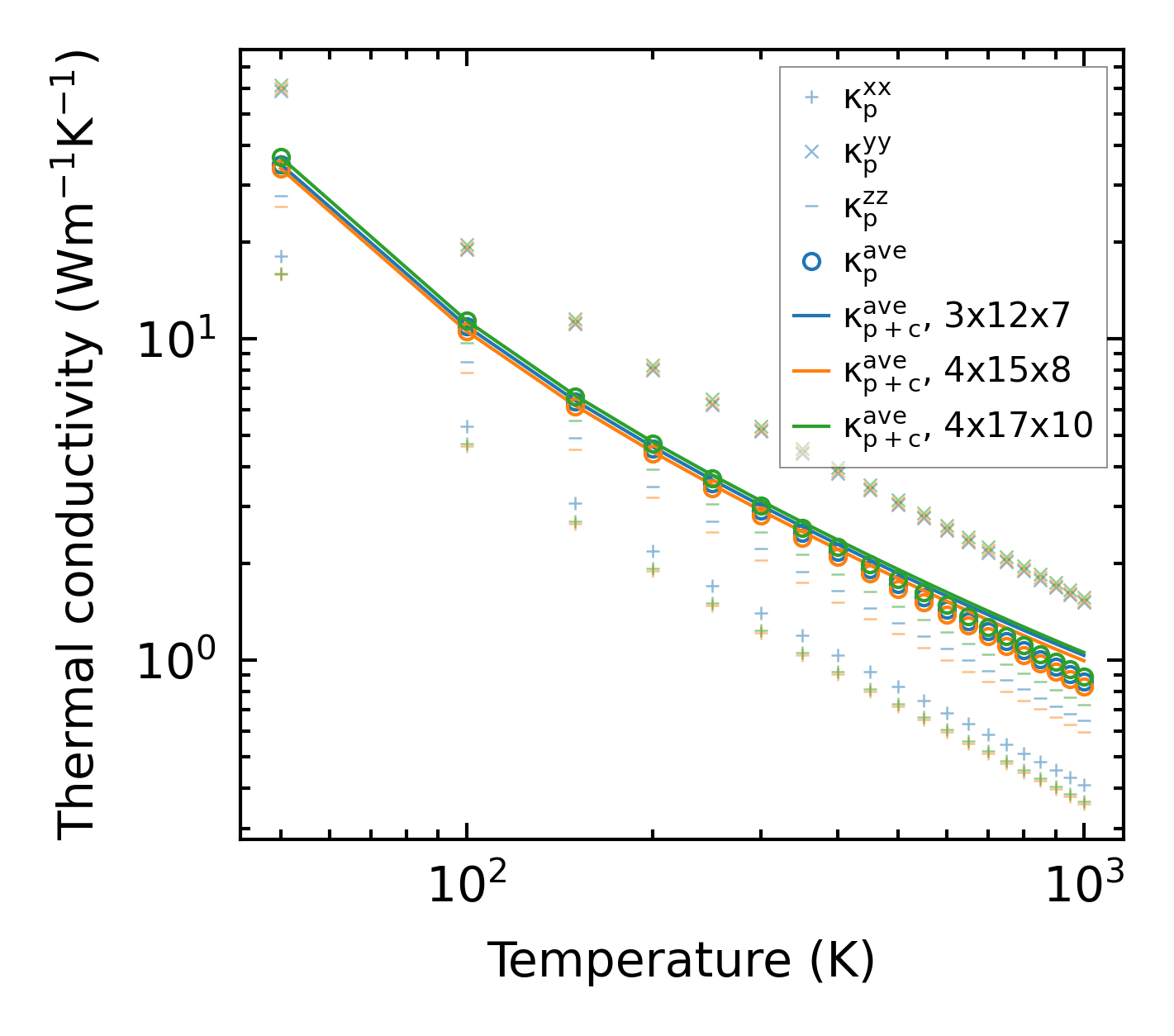
Thermal conductivity

3-phonon (LASSO) — q-mesh: 4x17x10, supercell: 1x3x2

../../_images/fig_kappa3101.png

(a) Temperature-dependent lattice thermal conductivity

../../_images/fig_kappa_vs_grain_size1634.png

(b) Peierls lattice thermal conductivity w.r.t grain size

Phonon lifetime and scattering rates

../../_images/fig_lifetime1603.png

(a) Phonon lifetime due to phonon-phonon scattering

../../_images/fig_scat_rates1602.png

(b) Phonon scattering rates

Cumulative and spectral thermal conductivity

../../_images/fig_cumu_frequency1603.png

(a) Spectral and cumulative thermal conductivity w.r.t frequency

../../_images/fig_cumu_mfp1603.png

(b) Spectral and cumulative thermal conductivity w.r.t MFP

Force constants

../../_images/fig_fc23410.png

(a) Force constants w.r.t atomic distance

Summary

../../_images/fig_kappa3102.png

(a) Temperature-dependent lattice thermal conductivity

../../_images/fig_times6260.png

(b) Computation time