mp-754382-2/He/anharm

Equation of state

../../_images/fig_bm1874.png

(a) Equation of state

Harmonic properties

../../_images/fig_bandos_pr3857.png

(a) Phonon dispersion with participation ratio and DOS

../../_images/fig_thermo3857.png

(b) Thermodynamic properties

Grüneisen parameters

../../_images/fig_gru_all1743.png

(a) Grüneisen parameters

../../_images/fig_gruneisen1743.png

(b) Phonon dispersion with Grüneisen parameters

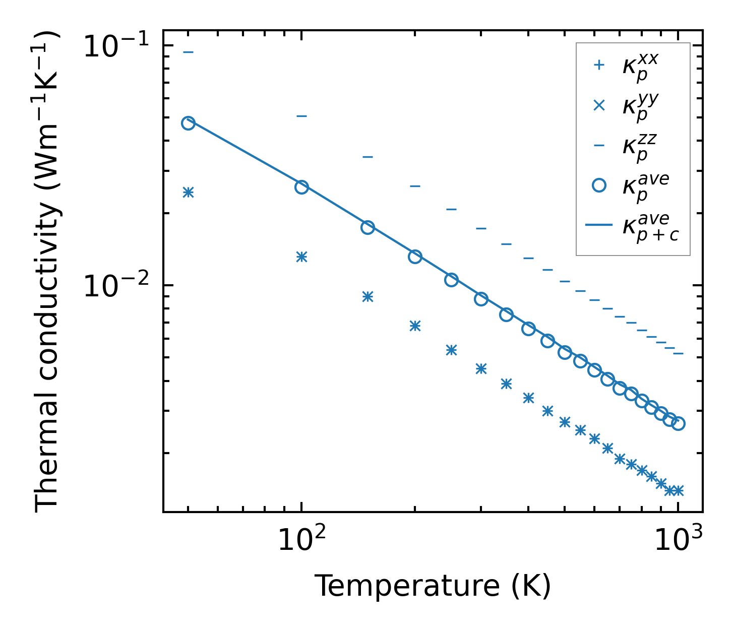
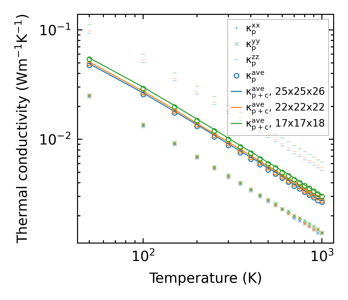
Thermal conductivity

3-phonon — q-mesh: 25x25x26, supercell: 5x5x6

../../_images/fig_kappa3353.png

(a) Temperature-dependent lattice thermal conductivity

../../_images/fig_kappa_vs_grain_size1770.png

(b) Peierls lattice thermal conductivity w.r.t grain size

Phonon lifetime and scattering rates

../../_images/fig_lifetime1733.png

(a) Phonon lifetime due to phonon-phonon scattering

../../_images/fig_scat_rates1732.png

(b) Phonon scattering rates

Cumulative and spectral thermal conductivity

../../_images/fig_cumu_frequency1733.png

(a) Spectral and cumulative thermal conductivity w.r.t frequency

../../_images/fig_cumu_mfp1733.png

(b) Spectral and cumulative thermal conductivity w.r.t MFP

Force constants

../../_images/fig_fc3186.png

(a) Force constants w.r.t atomic distance

Summary

../../_images/fig_kappa3354.png

(a) Temperature-dependent lattice thermal conductivity

../../_images/fig_times6664.png

(b) Computation time