mp-754212/BaSr2I6/anharm

Harmonic properties

../../_images/fig_bandos_pr3820.png

(a) Phonon dispersion with participation ratio and DOS

../../_images/fig_thermo3820.png

(b) Thermodynamic properties

Grüneisen parameters

../../_images/fig_gru_all1722.png

(a) Grüneisen parameters

../../_images/fig_gruneisen1722.png

(b) Phonon dispersion with Grüneisen parameters

Thermal conductivity

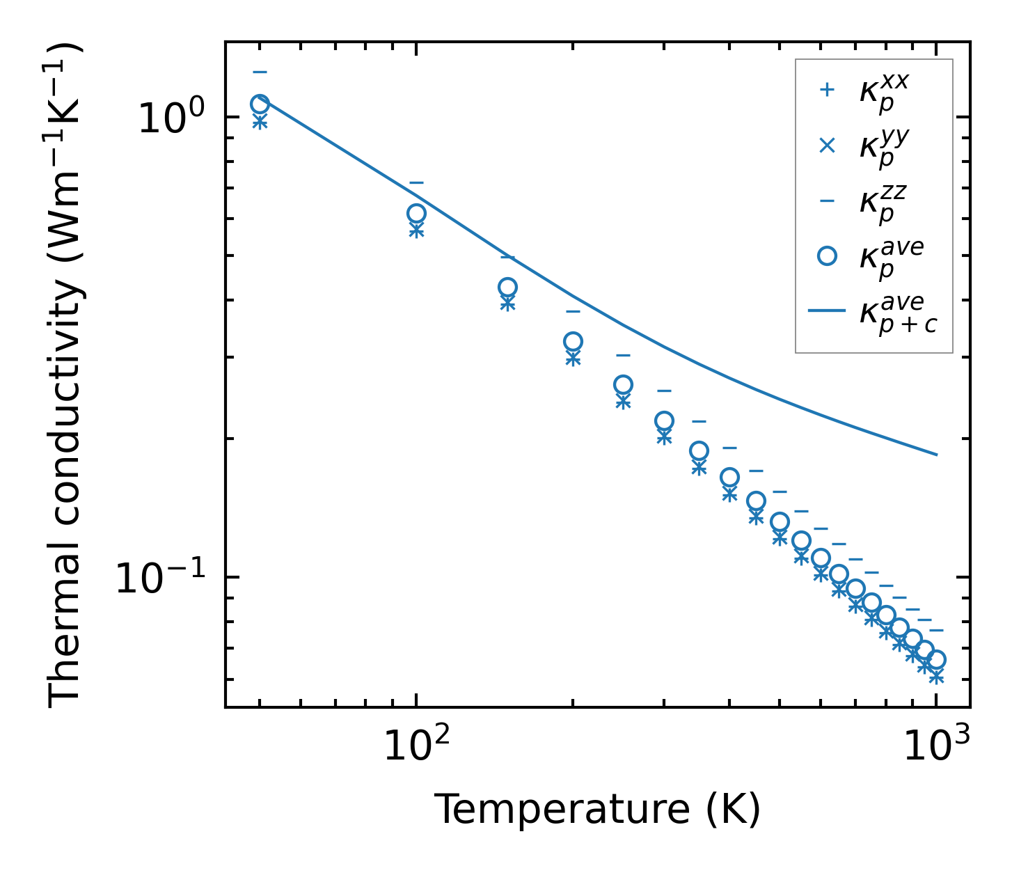
3-phonon — q-mesh: 9x9x10, supercell: 2x2x3

../../_images/fig_kappa3309.png

(a) Temperature-dependent lattice thermal conductivity

../../_images/fig_kappa_vs_grain_size1746.png

(b) Peierls lattice thermal conductivity w.r.t grain size

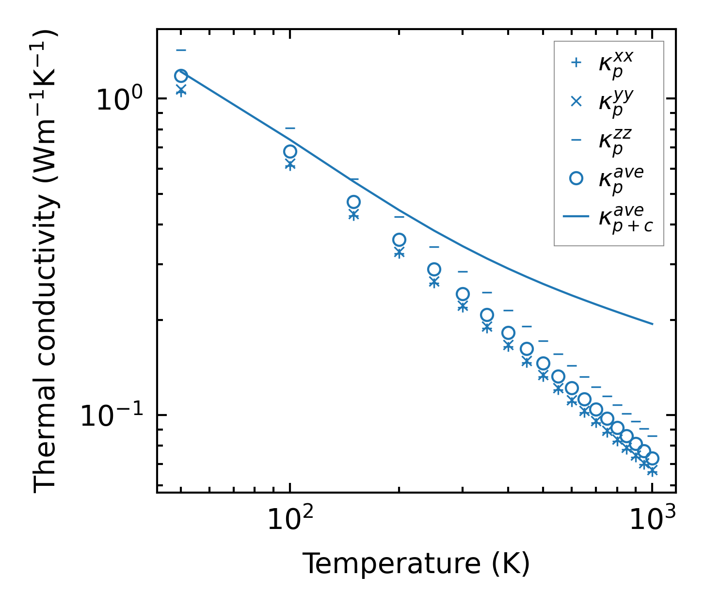
3-phonon (LASSO) — q-mesh: 9x9x10, supercell: 2x2x3

../../_images/fig_kappa3310.png

(a) Temperature-dependent lattice thermal conductivity

../../_images/fig_kappa_vs_grain_size1747.png

(b) Peierls lattice thermal conductivity w.r.t grain size

Phonon lifetime and scattering rates

../../_images/fig_lifetime1712.png

(a) Phonon lifetime due to phonon-phonon scattering

../../_images/fig_scat_rates1711.png

(b) Phonon scattering rates

Cumulative and spectral thermal conductivity

../../_images/fig_cumu_frequency1712.png

(a) Spectral and cumulative thermal conductivity w.r.t frequency

../../_images/fig_cumu_mfp1712.png

(b) Spectral and cumulative thermal conductivity w.r.t MFP

Force constants

../../_images/fig_fc3185.png

(a) Force constants w.r.t atomic distance

Summary

../../_images/fig_kappa3311.png

(a) Temperature-dependent lattice thermal conductivity

../../_images/fig_times6608.png

(b) Computation time