mp-754329/CdSnO3/anharm

Harmonic properties

../../_images/fig_bandos_pr3843.png

(a) Phonon dispersion with participation ratio and DOS

../../_images/fig_thermo3843.png

(b) Thermodynamic properties

Grüneisen parameters

../../_images/fig_gru_all1735.png

(a) Grüneisen parameters

../../_images/fig_gruneisen1735.png

(b) Phonon dispersion with Grüneisen parameters

Thermal conductivity

3-phonon (LASSO) — q-mesh: 14x14x14, supercell: 2x2x1

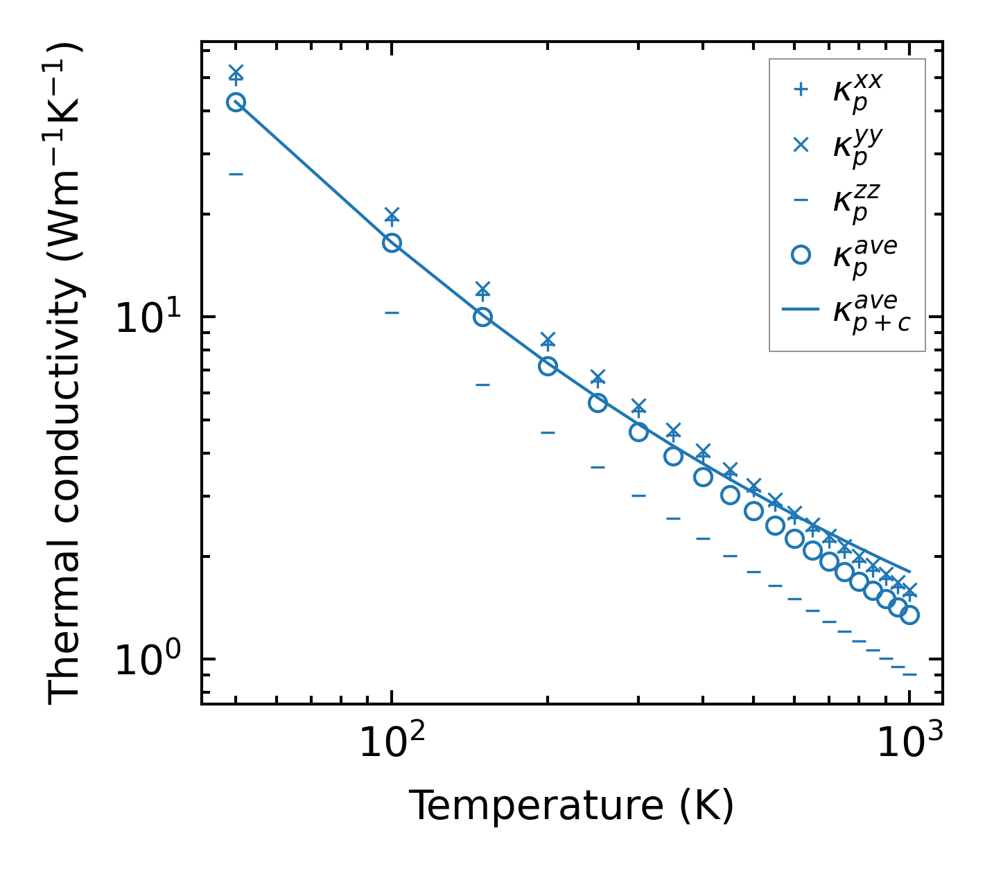
../../_images/fig_kappa3338.png

(a) Temperature-dependent lattice thermal conductivity

../../_images/fig_kappa_vs_grain_size1762.png

(b) Peierls lattice thermal conductivity w.r.t grain size

Phonon lifetime and scattering rates

../../_images/fig_lifetime1725.png

(a) Phonon lifetime due to phonon-phonon scattering

../../_images/fig_scat_rates1724.png

(b) Phonon scattering rates

Cumulative and spectral thermal conductivity

../../_images/fig_cumu_frequency1725.png

(a) Spectral and cumulative thermal conductivity w.r.t frequency

../../_images/fig_cumu_mfp1725.png

(b) Spectral and cumulative thermal conductivity w.r.t MFP

Force constants

../../_images/fig_fc23657.png

(a) Force constants w.r.t atomic distance

Summary

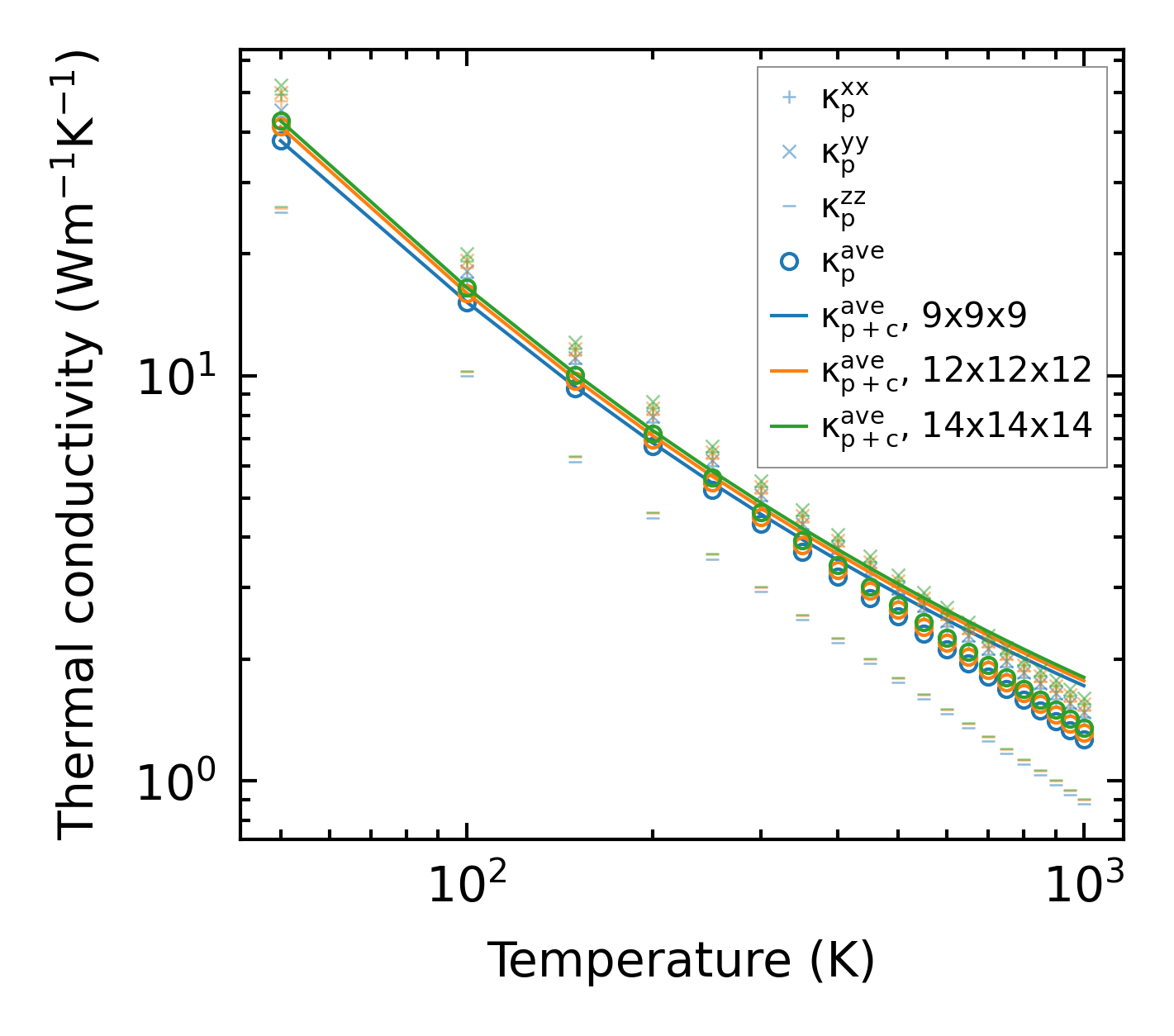
../../_images/fig_kappa3339.png

(a) Temperature-dependent lattice thermal conductivity

../../_images/fig_times6643.png

(b) Computation time