mp-754047/Rb3SbO3/anharm

Harmonic properties

../../_images/fig_bandos_pr3785.png

(a) Phonon dispersion with participation ratio and DOS

../../_images/fig_thermo3785.png

(b) Thermodynamic properties

Grüneisen parameters

../../_images/fig_gru_all1704.png

(a) Grüneisen parameters

../../_images/fig_gruneisen1704.png

(b) Phonon dispersion with Grüneisen parameters

Thermal conductivity

3-phonon (LASSO) — q-mesh: 10x10x9, supercell: 2x1x2

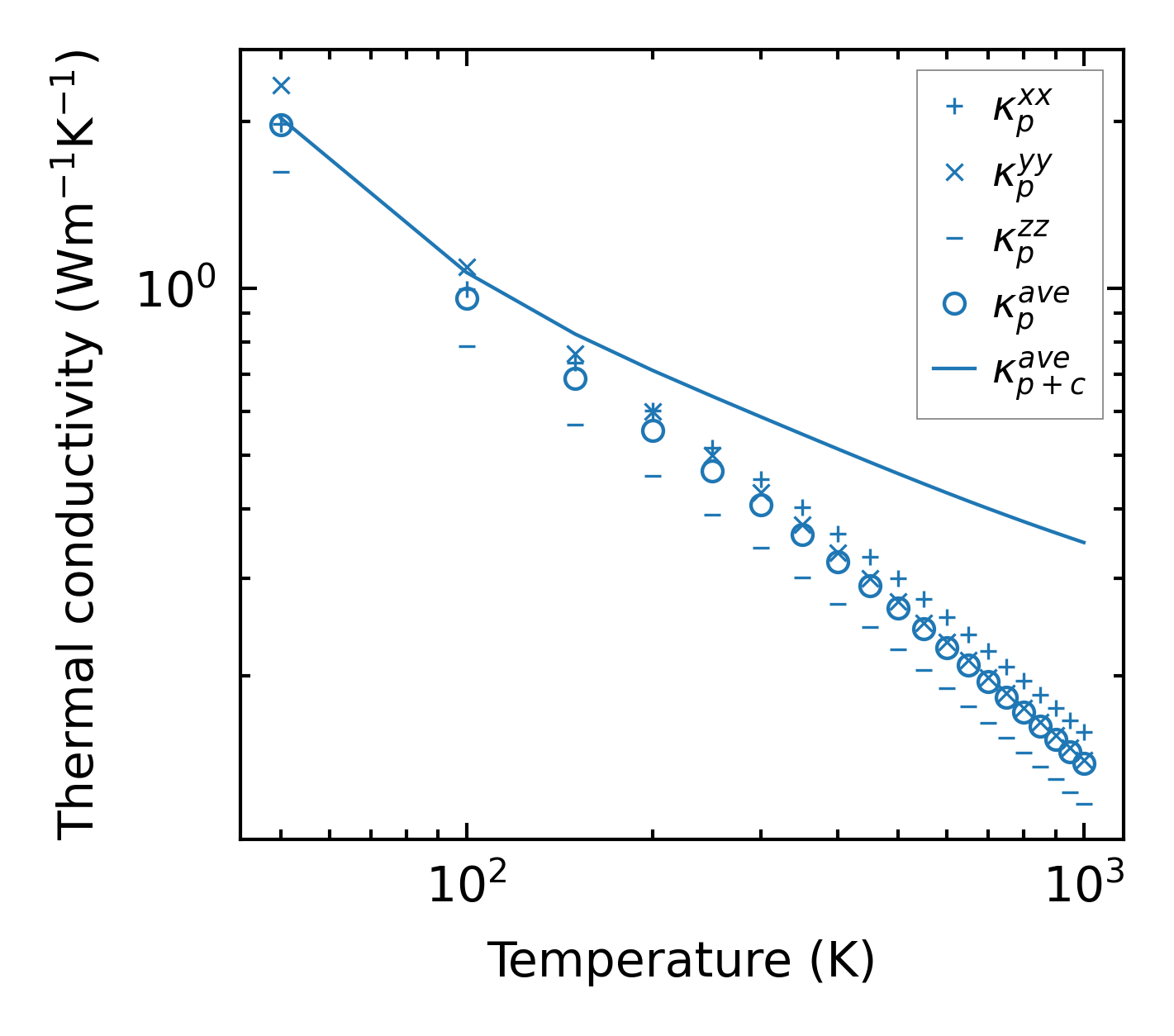
../../_images/fig_kappa3275.png

(a) Temperature-dependent lattice thermal conductivity

../../_images/fig_kappa_vs_grain_size1728.png

(b) Peierls lattice thermal conductivity w.r.t grain size

Phonon lifetime and scattering rates

../../_images/fig_lifetime1694.png

(a) Phonon lifetime due to phonon-phonon scattering

../../_images/fig_scat_rates1693.png

(b) Phonon scattering rates

Cumulative and spectral thermal conductivity

../../_images/fig_cumu_frequency1694.png

(a) Spectral and cumulative thermal conductivity w.r.t frequency

../../_images/fig_cumu_mfp1694.png

(b) Spectral and cumulative thermal conductivity w.r.t MFP

Force constants

../../_images/fig_fc23600.png

(a) Force constants w.r.t atomic distance

Summary

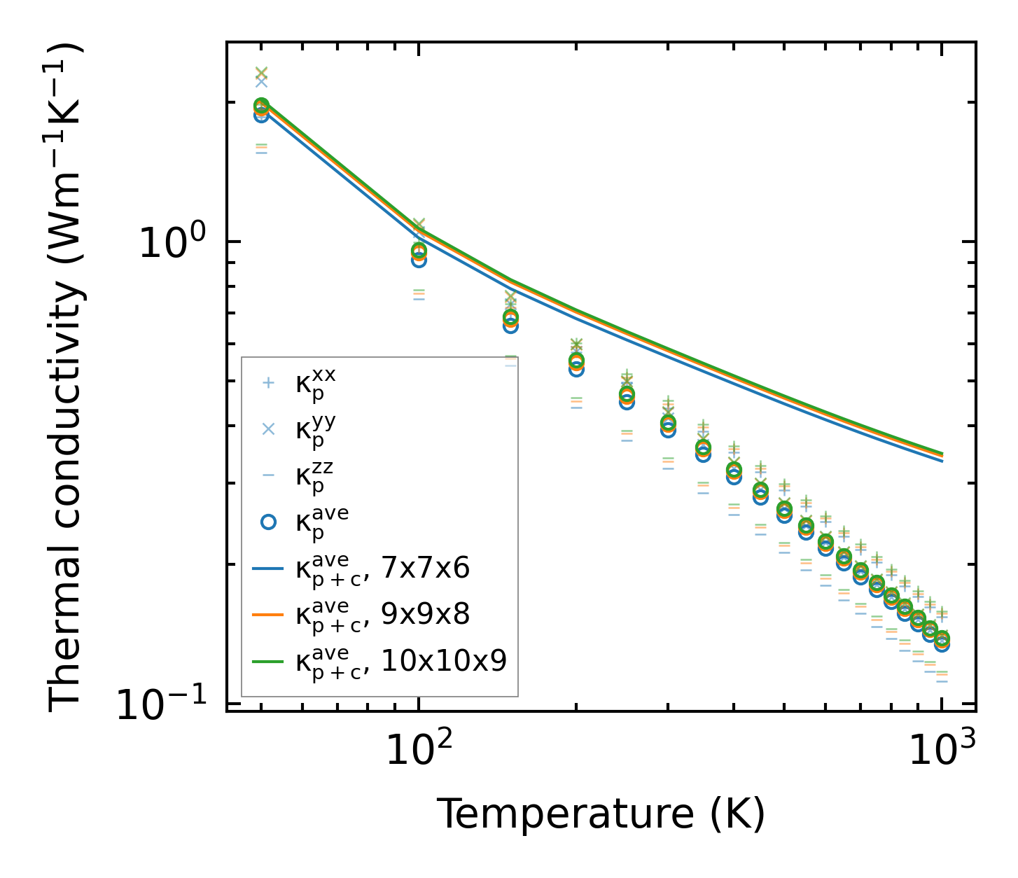
../../_images/fig_kappa3276.png

(a) Temperature-dependent lattice thermal conductivity

../../_images/fig_times6556.png

(b) Computation time