mp-754897-2/BaTl2O4/anharm

Harmonic properties

../../_images/fig_bandos_pr3613.png

(a) Phonon dispersion with participation ratio and DOS

../../_images/fig_thermo3613.png

(b) Thermodynamic properties

Grüneisen parameters

../../_images/fig_gru_all1623.png

(a) Grüneisen parameters

../../_images/fig_gruneisen1623.png

(b) Phonon dispersion with Grüneisen parameters

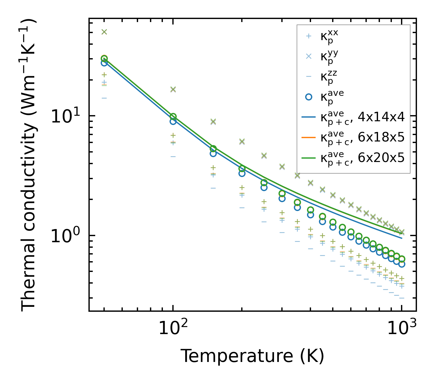
Thermal conductivity

3-phonon (LASSO) — q-mesh: 6x20x5, supercell: 1x3x1

../../_images/fig_kappa3121.png

(a) Temperature-dependent lattice thermal conductivity

../../_images/fig_kappa_vs_grain_size1644.png

(b) Peierls lattice thermal conductivity w.r.t grain size

Phonon lifetime and scattering rates

../../_images/fig_lifetime1613.png

(a) Phonon lifetime due to phonon-phonon scattering

../../_images/fig_scat_rates1612.png

(b) Phonon scattering rates

Cumulative and spectral thermal conductivity

../../_images/fig_cumu_frequency1613.png

(a) Spectral and cumulative thermal conductivity w.r.t frequency

../../_images/fig_cumu_mfp1613.png

(b) Spectral and cumulative thermal conductivity w.r.t MFP

Force constants

../../_images/fig_fc23431.png

(a) Force constants w.r.t atomic distance

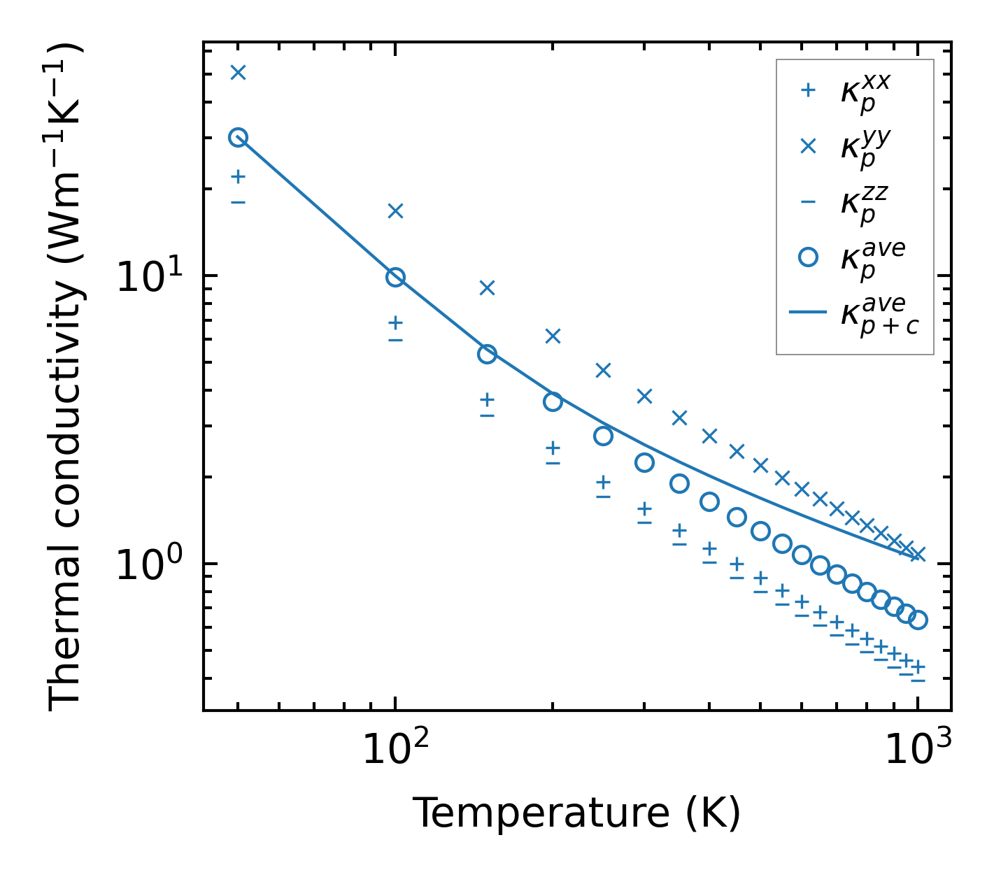
Summary

../../_images/fig_kappa3122.png

(a) Temperature-dependent lattice thermal conductivity

../../_images/fig_times6292.png

(b) Computation time