mp-754283-2/HoHO2/anharm

Equation of state

../../_images/fig_bm1866.png

(a) Equation of state

Harmonic properties

../../_images/fig_bandos_pr3835.png

(a) Phonon dispersion with participation ratio and DOS

../../_images/fig_bandos5086.png

(b) Phonon dispersion and DOS

../../_images/fig_thermo3835.png

(c) Thermodynamic properties

Grüneisen parameters

../../_images/fig_gru_all1732.png

(a) Grüneisen parameters

../../_images/fig_gruneisen1732.png

(b) Phonon dispersion with Grüneisen parameters

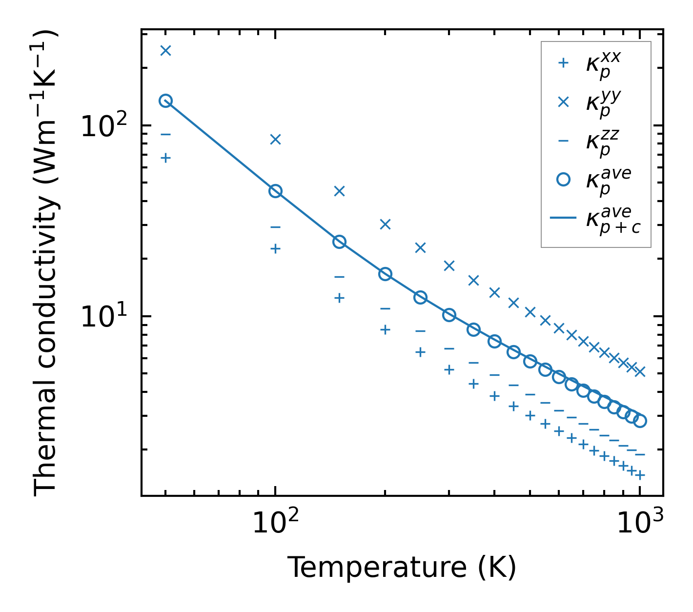
Thermal conductivity

3-phonon (LASSO) — q-mesh: 6x20x14, supercell: 1x3x3

../../_images/fig_kappa3330.png

(a) Temperature-dependent lattice thermal conductivity

../../_images/fig_kappa_vs_grain_size1757.png

(b) Peierls lattice thermal conductivity w.r.t grain size

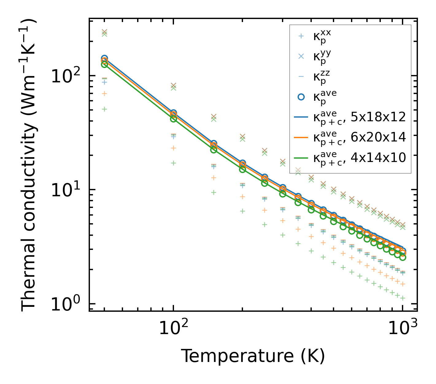
3-phonon (LASSO), supercell 1x4x3 — q-mesh: 6x20x14, supercell: 1x4x3

../../_images/fig_kappa3331.png

(a) Temperature-dependent lattice thermal conductivity

../../_images/fig_kappa_vs_grain_size1758.png

(b) Peierls lattice thermal conductivity w.r.t grain size

Phonon lifetime and scattering rates

../../_images/fig_lifetime1722.png

(a) Phonon lifetime due to phonon-phonon scattering

../../_images/fig_scat_rates1721.png

(b) Phonon scattering rates

Cumulative and spectral thermal conductivity

../../_images/fig_cumu_frequency1722.png

(a) Spectral and cumulative thermal conductivity w.r.t frequency

../../_images/fig_cumu_mfp1722.png

(b) Spectral and cumulative thermal conductivity w.r.t MFP

Force constants

../../_images/fig_fc23649.png

(a) Force constants w.r.t atomic distance

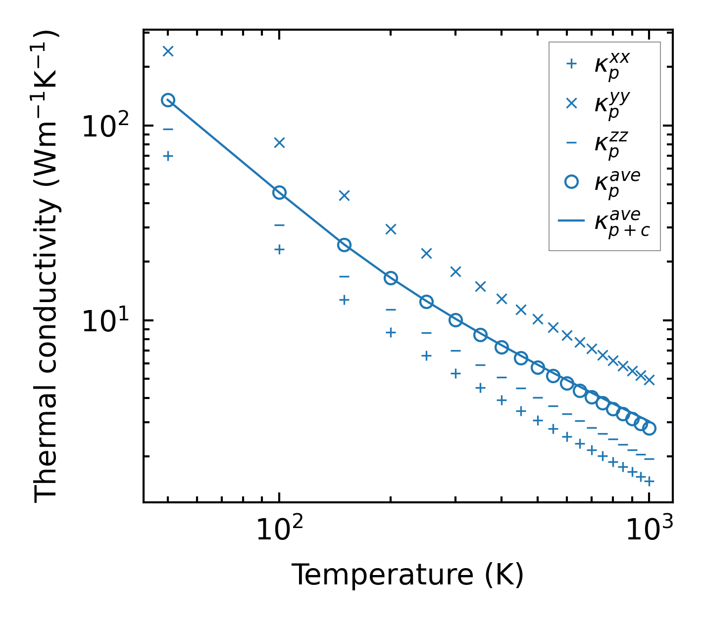
Summary

../../_images/fig_kappa3332.png

(a) Temperature-dependent lattice thermal conductivity

../../_images/fig_times6631.png

(b) Computation time