mp-754494-2/BaLaBr5/anharm

Equation of state

../../_images/fig_bm1881.png

(a) Equation of state

Harmonic properties

../../_images/fig_bandos_pr3876.png

(a) Phonon dispersion with participation ratio and DOS

../../_images/fig_bandos5130.png

(b) Phonon dispersion and DOS

../../_images/fig_thermo3876.png

(c) Thermodynamic properties

Grüneisen parameters

../../_images/fig_gru_all1756.png

(a) Grüneisen parameters

../../_images/fig_gruneisen1756.png

(b) Phonon dispersion with Grüneisen parameters

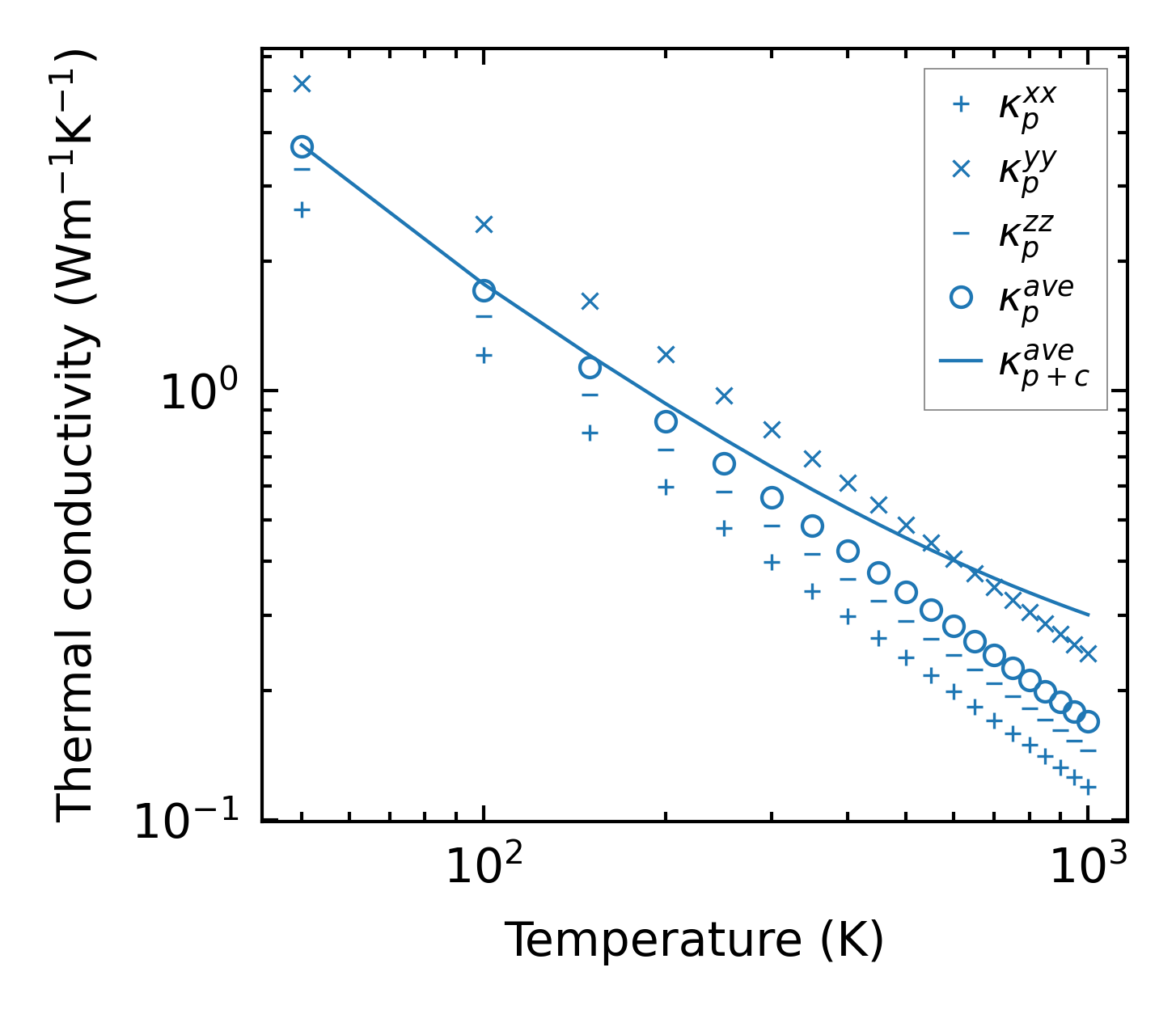
Thermal conductivity

3-phonon (LASSO), supercell 2x3x2 — q-mesh: 9x15x5, supercell: 2x3x2

../../_images/fig_kappa3379.png

(a) Temperature-dependent lattice thermal conductivity

../../_images/fig_kappa_vs_grain_size1784.png

(b) Peierls lattice thermal conductivity w.r.t grain size

Phonon lifetime and scattering rates

../../_images/fig_lifetime1746.png

(a) Phonon lifetime due to phonon-phonon scattering

../../_images/fig_scat_rates1745.png

(b) Phonon scattering rates

Cumulative and spectral thermal conductivity

../../_images/fig_cumu_frequency1746.png

(a) Spectral and cumulative thermal conductivity w.r.t frequency

../../_images/fig_cumu_mfp1746.png

(b) Spectral and cumulative thermal conductivity w.r.t MFP

Force constants

../../_images/fig_fc23689.png

(a) Force constants w.r.t atomic distance

Summary

../../_images/fig_times6697.png

(a) Computation time