mp-754883/KHoO2/anharm

Harmonic properties

../../_images/fig_bandos_pr3610.png

(a) Phonon dispersion with participation ratio and DOS

../../_images/fig_thermo3610.png

(b) Thermodynamic properties

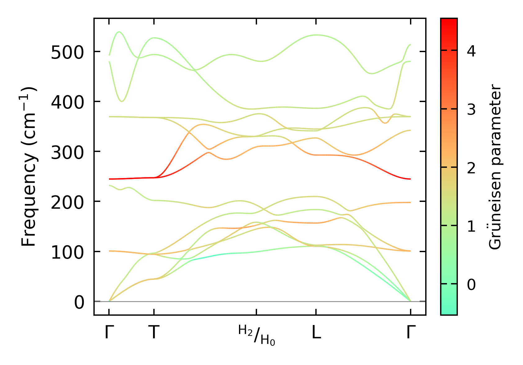
Grüneisen parameters

../../_images/fig_gru_all1620.png

(a) Grüneisen parameters

../../_images/fig_gruneisen1620.png

(b) Phonon dispersion with Grüneisen parameters

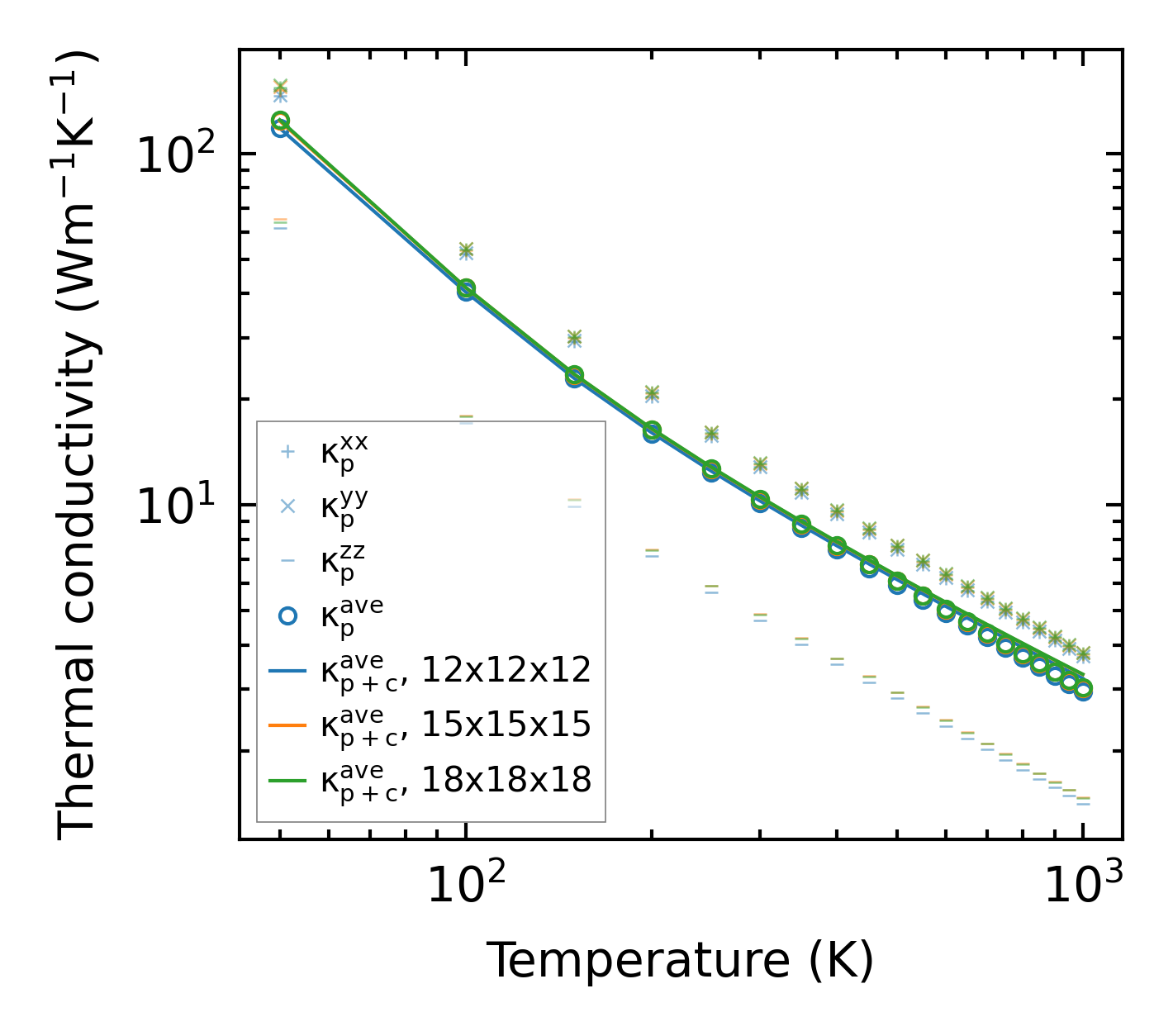
Thermal conductivity

3-phonon (LASSO) — q-mesh: 18x18x18, supercell: 3x3x1

../../_images/fig_kappa3115.png

(a) Temperature-dependent lattice thermal conductivity

../../_images/fig_kappa_vs_grain_size1641.png

(b) Peierls lattice thermal conductivity w.r.t grain size

Phonon lifetime and scattering rates

../../_images/fig_lifetime1610.png

(a) Phonon lifetime due to phonon-phonon scattering

../../_images/fig_scat_rates1609.png

(b) Phonon scattering rates

Cumulative and spectral thermal conductivity

../../_images/fig_cumu_frequency1610.png

(a) Spectral and cumulative thermal conductivity w.r.t frequency

../../_images/fig_cumu_mfp1610.png

(b) Spectral and cumulative thermal conductivity w.r.t MFP

Force constants

../../_images/fig_fc23428.png

(a) Force constants w.r.t atomic distance

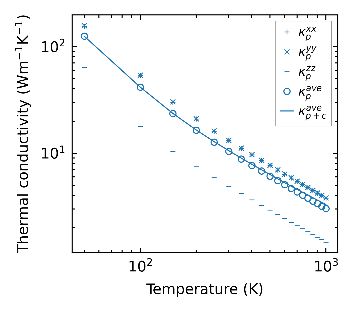
Summary

../../_images/fig_kappa3116.png

(a) Temperature-dependent lattice thermal conductivity

../../_images/fig_times6288.png

(b) Computation time