mp-754478-2/HfZrO4/anharm

Equation of state

../../_images/fig_bm1880.png

(a) Equation of state

Harmonic properties

../../_images/fig_bandos_pr3875.png

(a) Phonon dispersion with participation ratio and DOS

../../_images/fig_thermo3875.png

(b) Thermodynamic properties

Grüneisen parameters

../../_images/fig_gru_all1755.png

(a) Grüneisen parameters

../../_images/fig_gruneisen1755.png

(b) Phonon dispersion with Grüneisen parameters

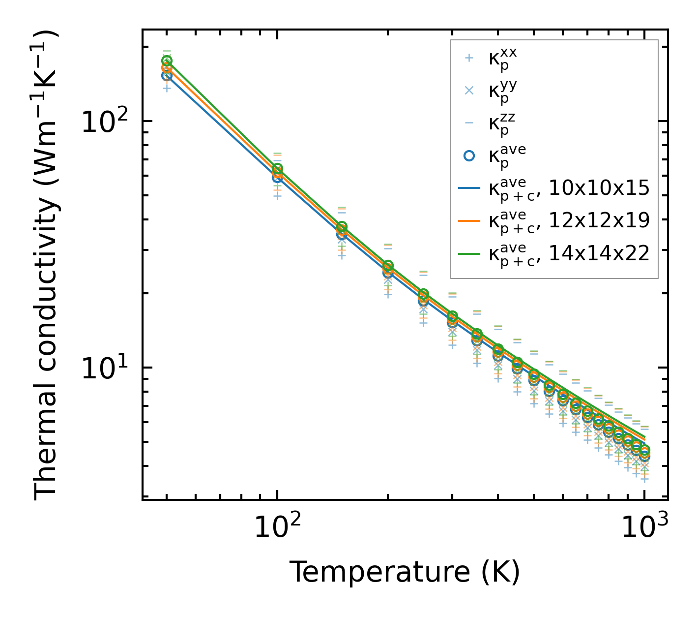
Thermal conductivity

3-phonon (LASSO) — q-mesh: 14x14x22, supercell: 2x2x3

../../_images/fig_kappa3376.png

(a) Temperature-dependent lattice thermal conductivity

../../_images/fig_kappa_vs_grain_size1782.png

(b) Peierls lattice thermal conductivity w.r.t grain size

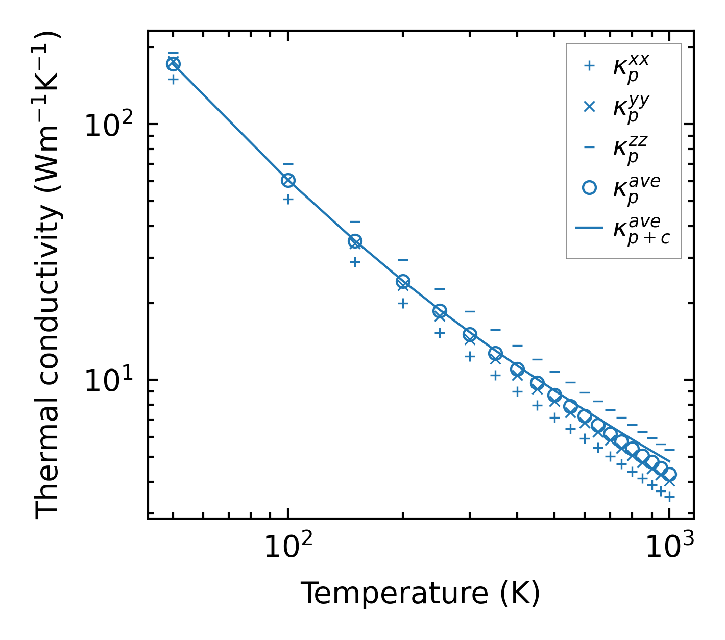
3-phonon (LASSO), supercell 2x2x4 — q-mesh: 14x14x22, supercell: 2x2x4

../../_images/fig_kappa3377.png

(a) Temperature-dependent lattice thermal conductivity

../../_images/fig_kappa_vs_grain_size1783.png

(b) Peierls lattice thermal conductivity w.r.t grain size

Phonon lifetime and scattering rates

../../_images/fig_lifetime1745.png

(a) Phonon lifetime due to phonon-phonon scattering

../../_images/fig_scat_rates1744.png

(b) Phonon scattering rates

Cumulative and spectral thermal conductivity

../../_images/fig_cumu_frequency1745.png

(a) Spectral and cumulative thermal conductivity w.r.t frequency

../../_images/fig_cumu_mfp1745.png

(b) Spectral and cumulative thermal conductivity w.r.t MFP

Force constants

../../_images/fig_fc23688.png

(a) Force constants w.r.t atomic distance

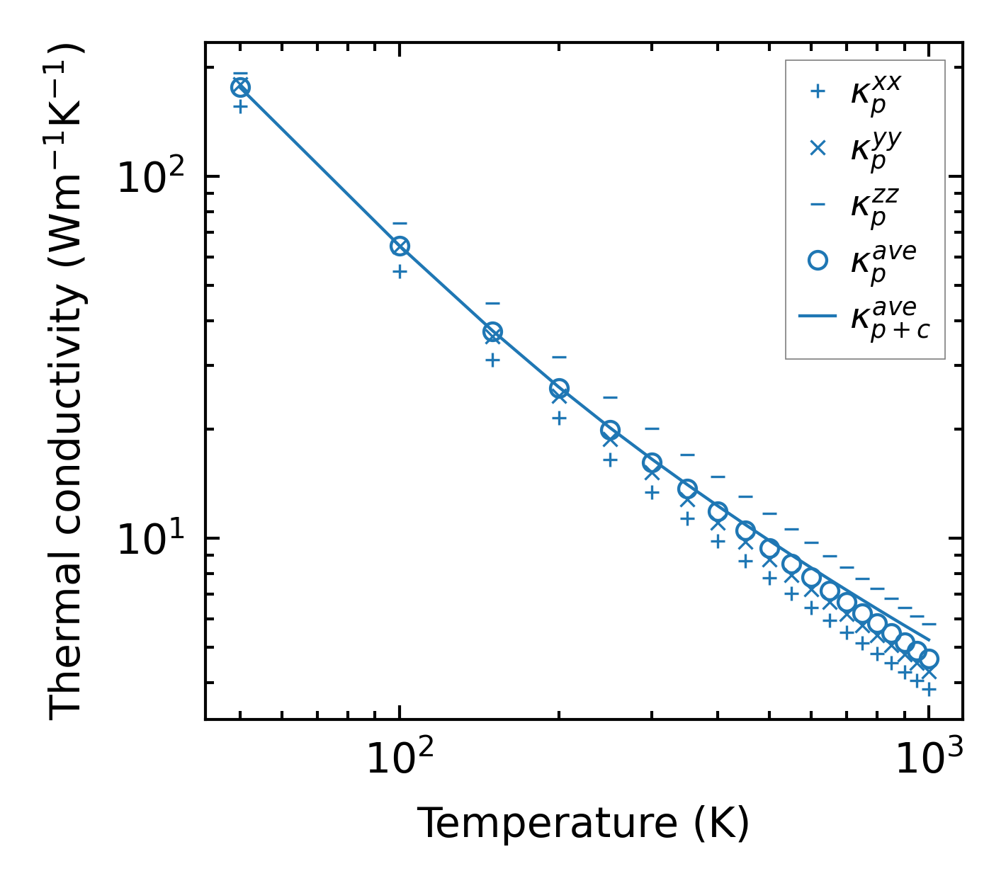
Summary

../../_images/fig_kappa3378.png

(a) Temperature-dependent lattice thermal conductivity

../../_images/fig_times6695.png

(b) Computation time