mp-754199/BaSrI4/anharm

Harmonic properties

../../_images/fig_bandos_pr3817.png

(a) Phonon dispersion with participation ratio and DOS

../../_images/fig_thermo3817.png

(b) Thermodynamic properties

Grüneisen parameters

../../_images/fig_gru_all1720.png

(a) Grüneisen parameters

../../_images/fig_gruneisen1720.png

(b) Phonon dispersion with Grüneisen parameters

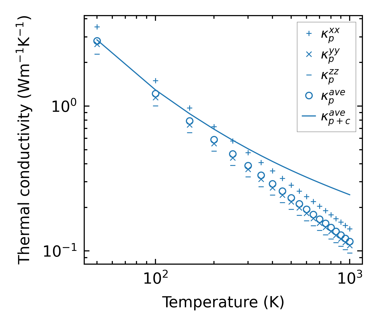
Thermal conductivity

3-phonon (LASSO) — q-mesh: 8x8x9, supercell: 2x1x2

../../_images/fig_kappa3305.png

(a) Temperature-dependent lattice thermal conductivity

../../_images/fig_kappa_vs_grain_size1744.png

(b) Peierls lattice thermal conductivity w.r.t grain size

Phonon lifetime and scattering rates

../../_images/fig_lifetime1710.png

(a) Phonon lifetime due to phonon-phonon scattering

../../_images/fig_scat_rates1709.png

(b) Phonon scattering rates

Cumulative and spectral thermal conductivity

../../_images/fig_cumu_frequency1710.png

(a) Spectral and cumulative thermal conductivity w.r.t frequency

../../_images/fig_cumu_mfp1710.png

(b) Spectral and cumulative thermal conductivity w.r.t MFP

Force constants

../../_images/fig_fc23632.png

(a) Force constants w.r.t atomic distance

Summary

../../_images/fig_kappa3306.png

(a) Temperature-dependent lattice thermal conductivity

../../_images/fig_times6603.png

(b) Computation time