mp-754211/SrLa2O4/anharm

Harmonic properties

../../_images/fig_bandos_pr3819.png

(a) Phonon dispersion with participation ratio and DOS

../../_images/fig_thermo3819.png

(b) Thermodynamic properties

Grüneisen parameters

../../_images/fig_gru_all1721.png

(a) Grüneisen parameters

../../_images/fig_gruneisen1721.png

(b) Phonon dispersion with Grüneisen parameters

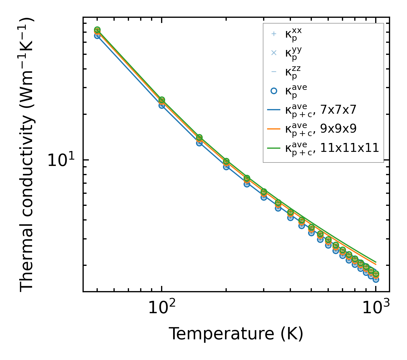
Thermal conductivity

3-phonon (LASSO) — q-mesh: 11x11x11, supercell: 1x1x1

../../_images/fig_kappa3307.png

(a) Temperature-dependent lattice thermal conductivity

../../_images/fig_kappa_vs_grain_size1745.png

(b) Peierls lattice thermal conductivity w.r.t grain size

Phonon lifetime and scattering rates

../../_images/fig_lifetime1711.png

(a) Phonon lifetime due to phonon-phonon scattering

../../_images/fig_scat_rates1710.png

(b) Phonon scattering rates

Cumulative and spectral thermal conductivity

../../_images/fig_cumu_frequency1711.png

(a) Spectral and cumulative thermal conductivity w.r.t frequency

../../_images/fig_cumu_mfp1711.png

(b) Spectral and cumulative thermal conductivity w.r.t MFP

Force constants

../../_images/fig_fc23634.png

(a) Force constants w.r.t atomic distance

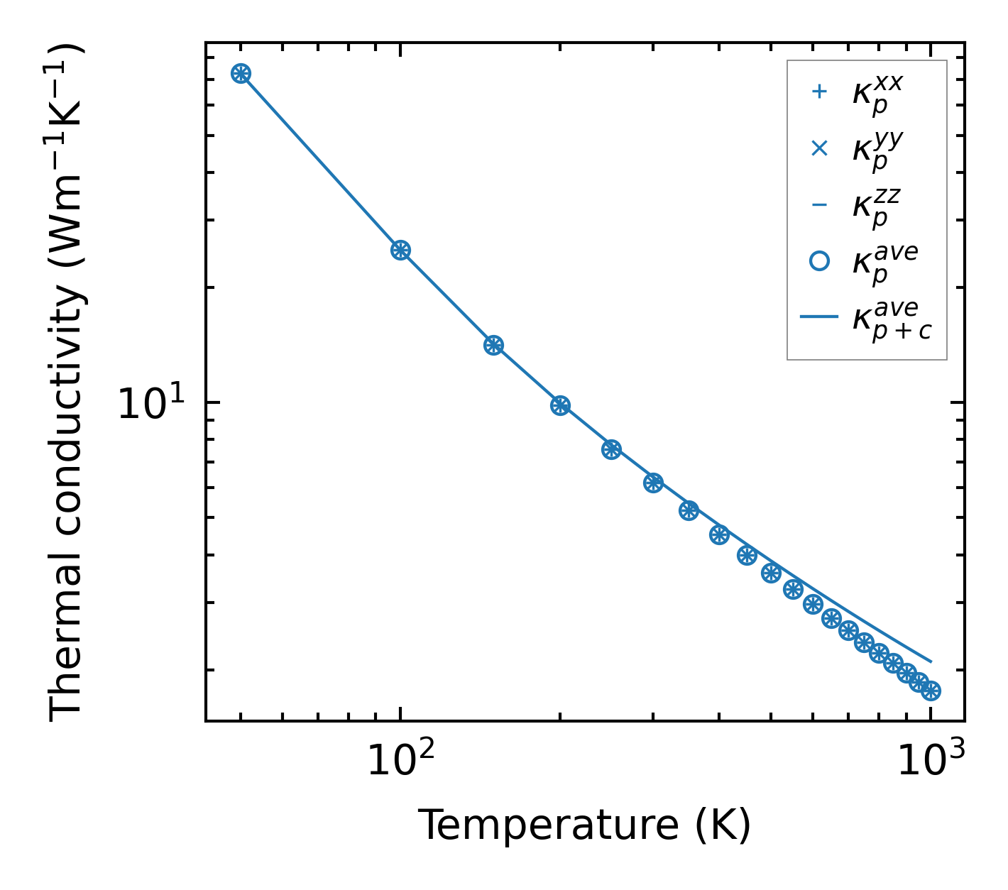
Summary

../../_images/fig_kappa3308.png

(a) Temperature-dependent lattice thermal conductivity

../../_images/fig_times6607.png

(b) Computation time