mp-754969/TmBrO/anharm

Harmonic properties

../../_images/fig_bandos_pr3627.png

(a) Phonon dispersion with participation ratio and DOS

../../_images/fig_thermo3627.png

(b) Thermodynamic properties

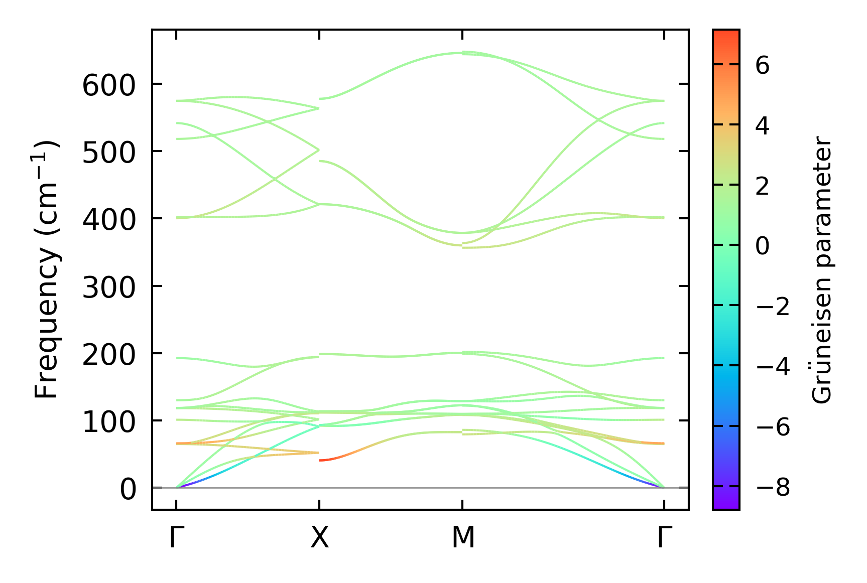
Grüneisen parameters

../../_images/fig_gru_all1626.png

(a) Grüneisen parameters

../../_images/fig_gruneisen1626.png

(b) Phonon dispersion with Grüneisen parameters

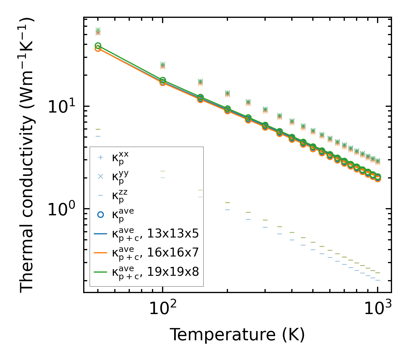
Thermal conductivity

3-phonon (LASSO) — q-mesh: 19x19x8, supercell: 3x3x2

../../_images/fig_kappa3127.png

(a) Temperature-dependent lattice thermal conductivity

../../_images/fig_kappa_vs_grain_size1647.png

(b) Peierls lattice thermal conductivity w.r.t grain size

Phonon lifetime and scattering rates

../../_images/fig_lifetime1616.png

(a) Phonon lifetime due to phonon-phonon scattering

../../_images/fig_scat_rates1615.png

(b) Phonon scattering rates

Cumulative and spectral thermal conductivity

../../_images/fig_cumu_frequency1616.png

(a) Spectral and cumulative thermal conductivity w.r.t frequency

../../_images/fig_cumu_mfp1616.png

(b) Spectral and cumulative thermal conductivity w.r.t MFP

Force constants

../../_images/fig_fc23445.png

(a) Force constants w.r.t atomic distance

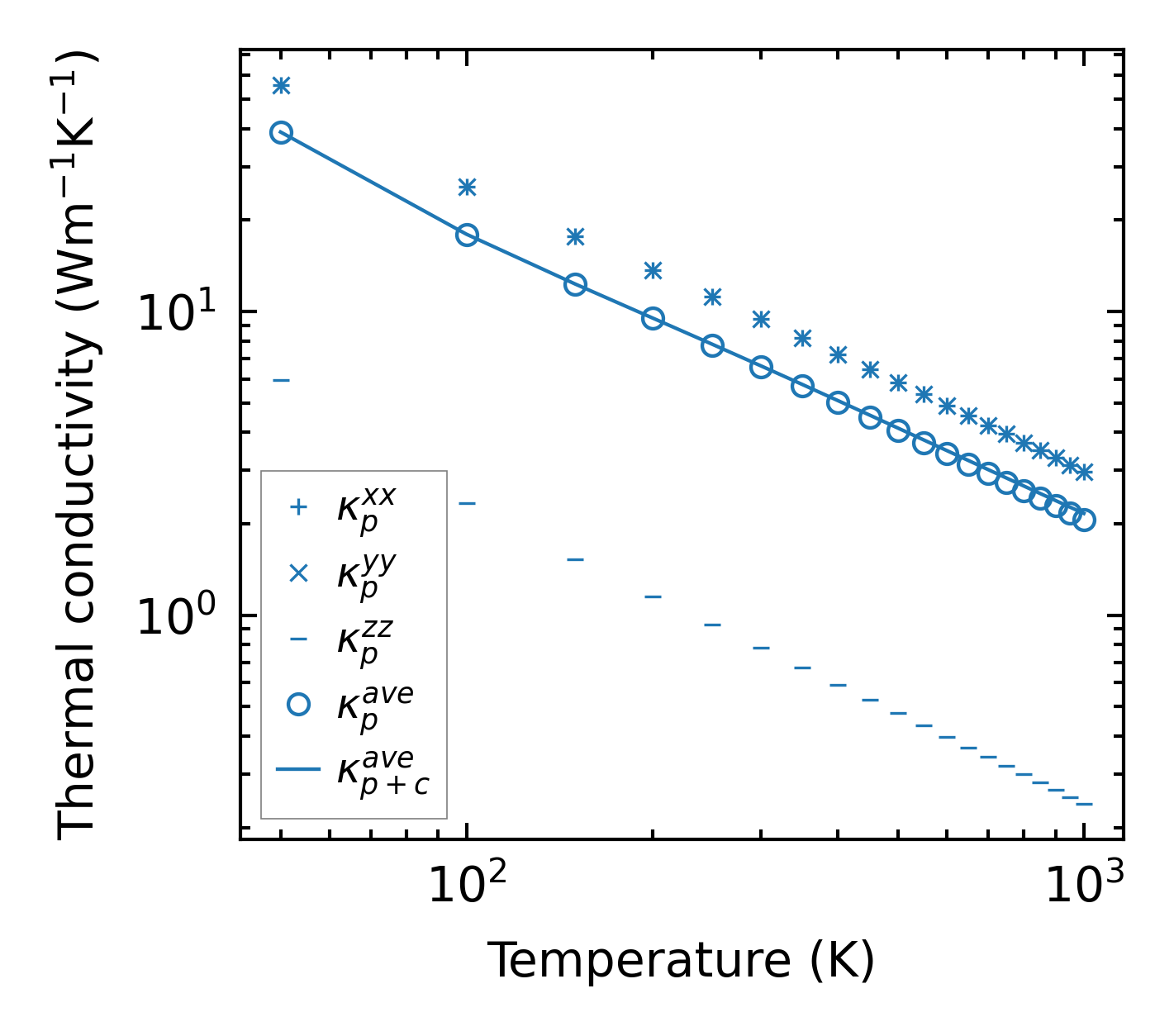
Summary

../../_images/fig_kappa3128.png

(a) Temperature-dependent lattice thermal conductivity

../../_images/fig_times6311.png

(b) Computation time