mp-754352/Na3CuO2/anharm

Harmonic properties

../../_images/fig_bandos_pr3846.png

(a) Phonon dispersion with participation ratio and DOS

../../_images/fig_thermo3846.png

(b) Thermodynamic properties

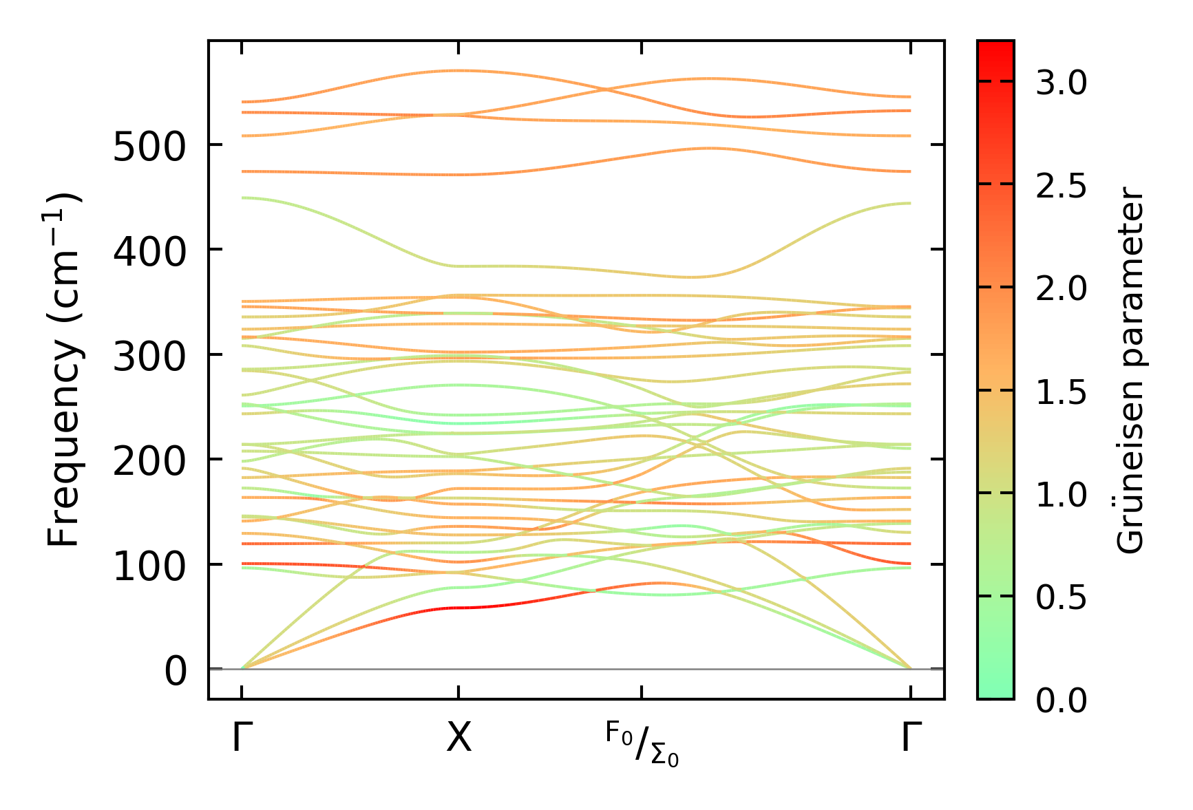
Grüneisen parameters

../../_images/fig_gru_all1737.png

(a) Grüneisen parameters

../../_images/fig_gruneisen1737.png

(b) Phonon dispersion with Grüneisen parameters

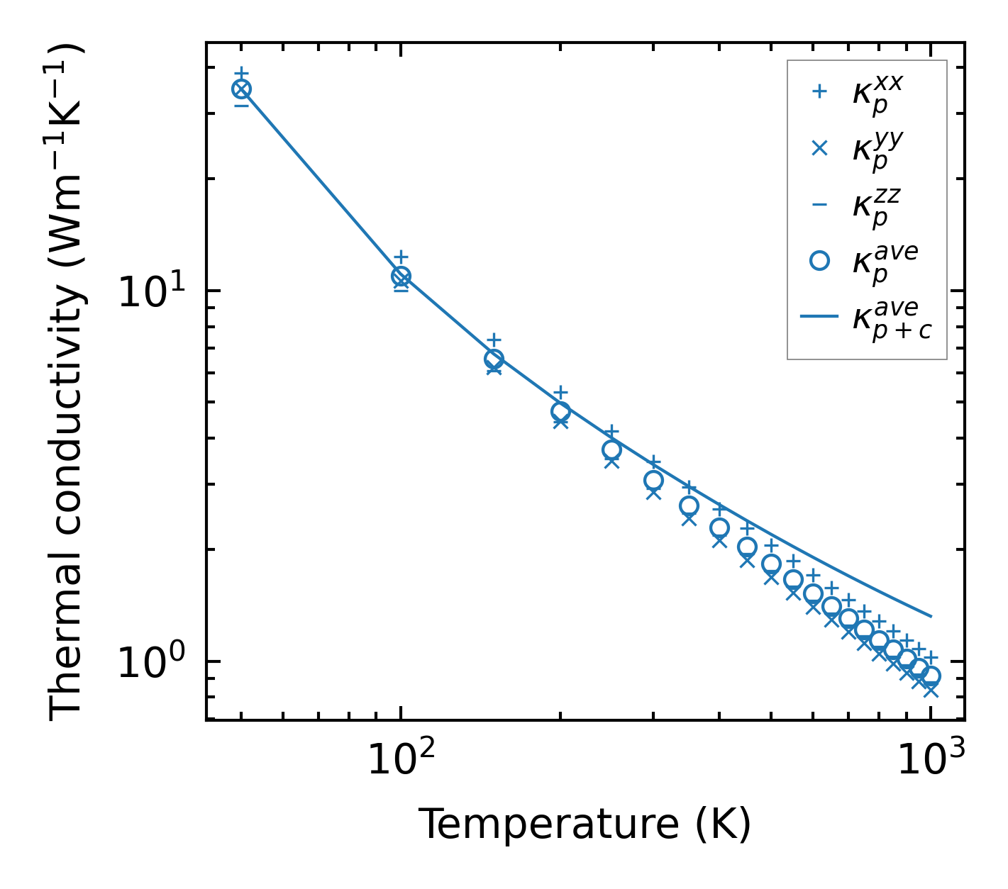
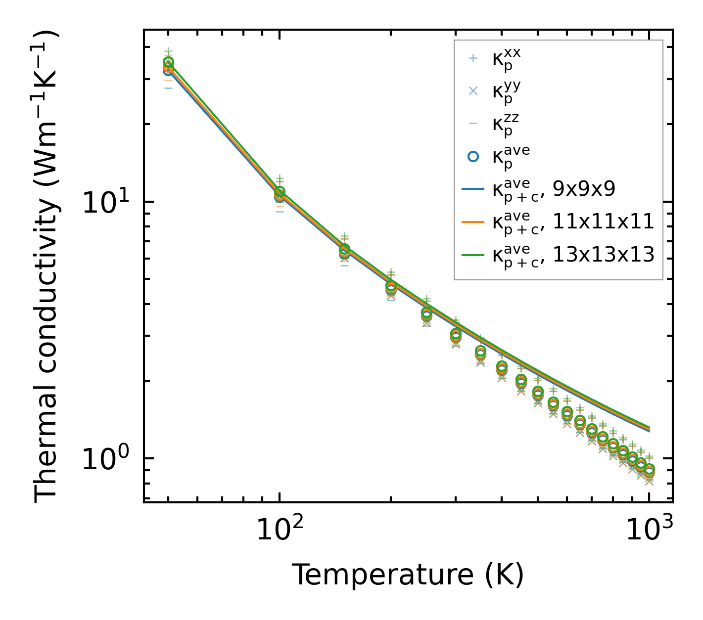
Thermal conductivity

3-phonon (LASSO) — q-mesh: 13x13x13, supercell: 2x1x2

../../_images/fig_kappa3342.png

(a) Temperature-dependent lattice thermal conductivity

../../_images/fig_kappa_vs_grain_size1764.png

(b) Peierls lattice thermal conductivity w.r.t grain size

Phonon lifetime and scattering rates

../../_images/fig_lifetime1727.png

(a) Phonon lifetime due to phonon-phonon scattering

../../_images/fig_scat_rates1726.png

(b) Phonon scattering rates

Cumulative and spectral thermal conductivity

../../_images/fig_cumu_frequency1727.png

(a) Spectral and cumulative thermal conductivity w.r.t frequency

../../_images/fig_cumu_mfp1727.png

(b) Spectral and cumulative thermal conductivity w.r.t MFP

Force constants

../../_images/fig_fc23660.png

(a) Force constants w.r.t atomic distance

Summary

../../_images/fig_kappa3343.png

(a) Temperature-dependent lattice thermal conductivity

../../_images/fig_times6649.png

(b) Computation time