mp-754153/LiH2BrO/anharm

Harmonic properties

../../_images/fig_bandos_pr3806.png

(a) Phonon dispersion with participation ratio and DOS

../../_images/fig_thermo3806.png

(b) Thermodynamic properties

Grüneisen parameters

../../_images/fig_gru_all1716.png

(a) Grüneisen parameters

../../_images/fig_gruneisen1716.png

(b) Phonon dispersion with Grüneisen parameters

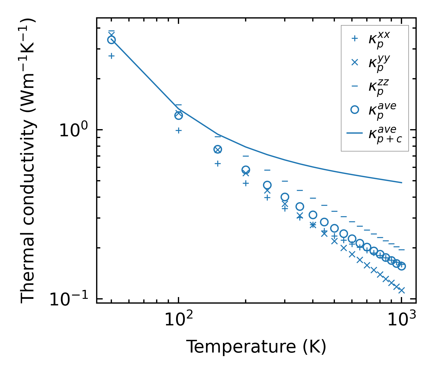
Thermal conductivity

3-phonon (LASSO) — q-mesh: 12x12x9, supercell: 1x1x2

../../_images/fig_kappa3297.png

(a) Temperature-dependent lattice thermal conductivity

../../_images/fig_kappa_vs_grain_size1740.png

(b) Peierls lattice thermal conductivity w.r.t grain size

Phonon lifetime and scattering rates

../../_images/fig_lifetime1706.png

(a) Phonon lifetime due to phonon-phonon scattering

../../_images/fig_scat_rates1705.png

(b) Phonon scattering rates

Cumulative and spectral thermal conductivity

../../_images/fig_cumu_frequency1706.png

(a) Spectral and cumulative thermal conductivity w.r.t frequency

../../_images/fig_cumu_mfp1706.png

(b) Spectral and cumulative thermal conductivity w.r.t MFP

Force constants

../../_images/fig_fc23621.png

(a) Force constants w.r.t atomic distance

Summary

../../_images/fig_kappa3298.png

(a) Temperature-dependent lattice thermal conductivity

../../_images/fig_times6586.png

(b) Computation time