mp-754302-2/Dy2Zr2O7/anharm

Equation of state

../../_images/fig_bm1868.png

(a) Equation of state

Harmonic properties

../../_images/fig_bandos_pr3837.png

(a) Phonon dispersion with participation ratio and DOS

../../_images/fig_thermo3837.png

(b) Thermodynamic properties

Grüneisen parameters

../../_images/fig_gru_all1733.png

(a) Grüneisen parameters

../../_images/fig_gruneisen1733.png

(b) Phonon dispersion with Grüneisen parameters

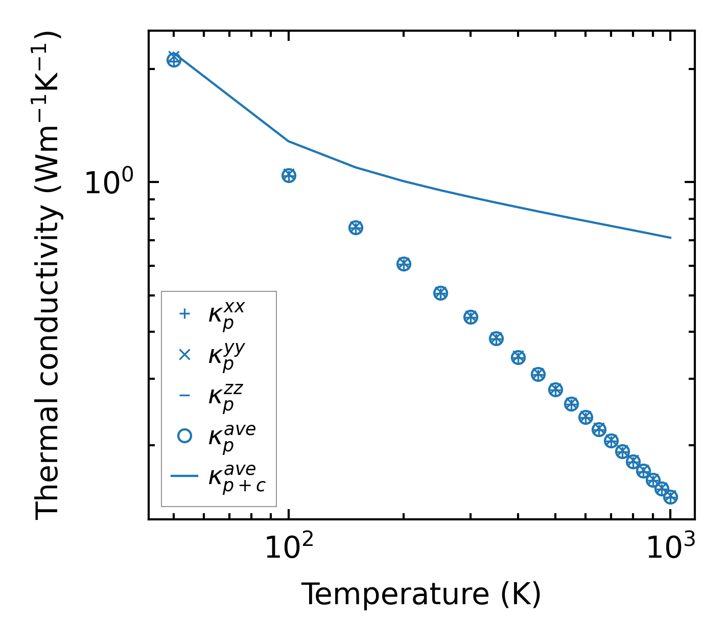
Thermal conductivity

3-phonon (LASSO) — q-mesh: 10x10x10, supercell: 1x1x1

../../_images/fig_kappa3333.png

(a) Temperature-dependent lattice thermal conductivity

../../_images/fig_kappa_vs_grain_size1759.png

(b) Peierls lattice thermal conductivity w.r.t grain size

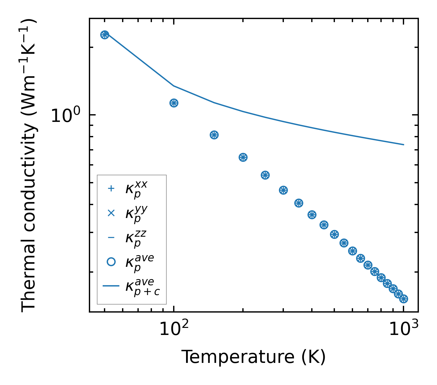
3-phonon (LASSO), supercell 2x2x2 — q-mesh: 10x10x10, supercell: 2x2x2

../../_images/fig_kappa3334.png

(a) Temperature-dependent lattice thermal conductivity

../../_images/fig_kappa_vs_grain_size1760.png

(b) Peierls lattice thermal conductivity w.r.t grain size

Phonon lifetime and scattering rates

../../_images/fig_lifetime1723.png

(a) Phonon lifetime due to phonon-phonon scattering

../../_images/fig_scat_rates1722.png

(b) Phonon scattering rates

Cumulative and spectral thermal conductivity

../../_images/fig_cumu_frequency1723.png

(a) Spectral and cumulative thermal conductivity w.r.t frequency

../../_images/fig_cumu_mfp1723.png

(b) Spectral and cumulative thermal conductivity w.r.t MFP

Force constants

../../_images/fig_fc23651.png

(a) Force constants w.r.t atomic distance

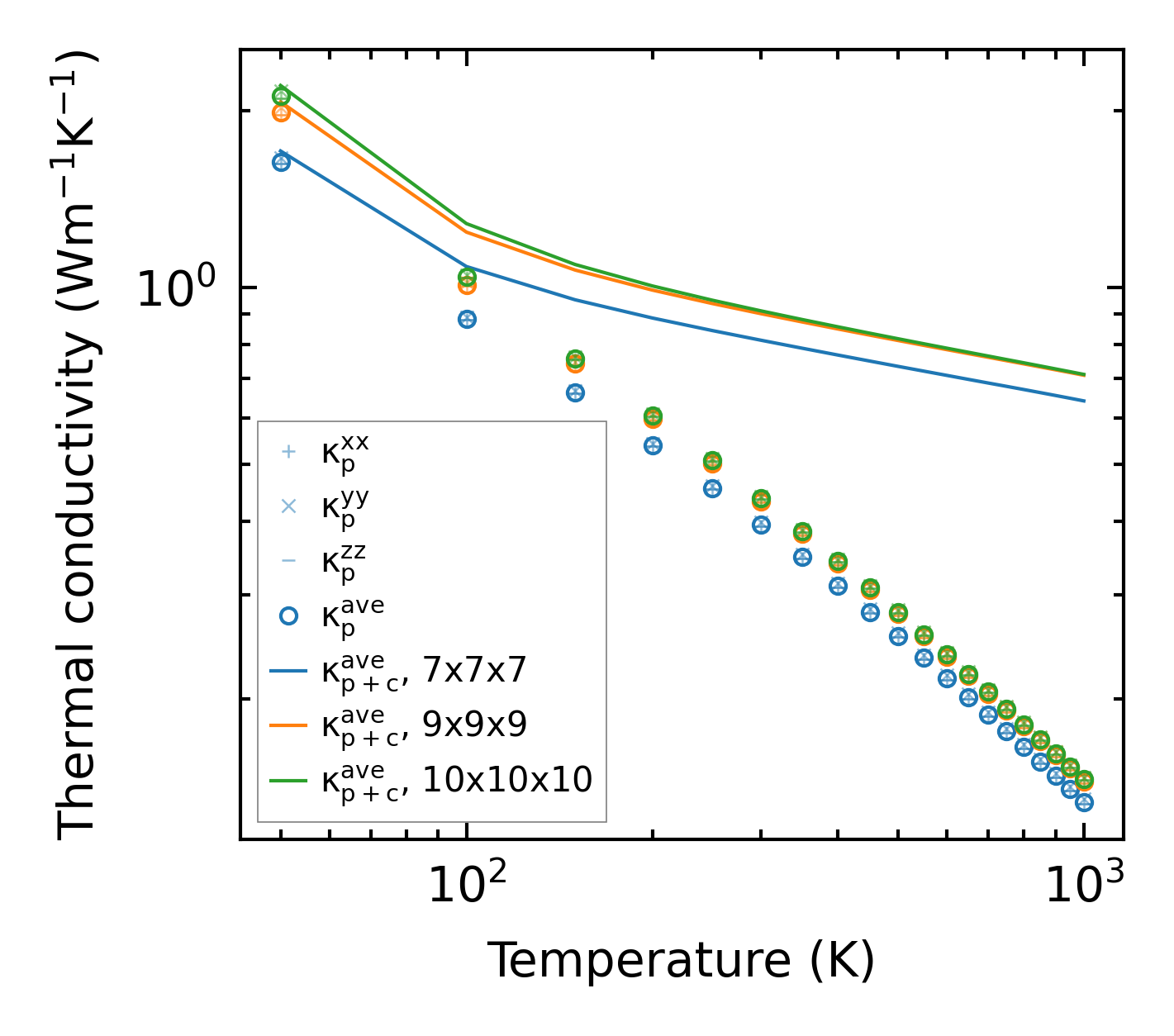
Summary

../../_images/fig_kappa3335.png

(a) Temperature-dependent lattice thermal conductivity

../../_images/fig_times6636.png

(b) Computation time