mp-754594/VBO4/harm

Equation of state

../../_images/fig_bm1753.png

(a) Equation of state

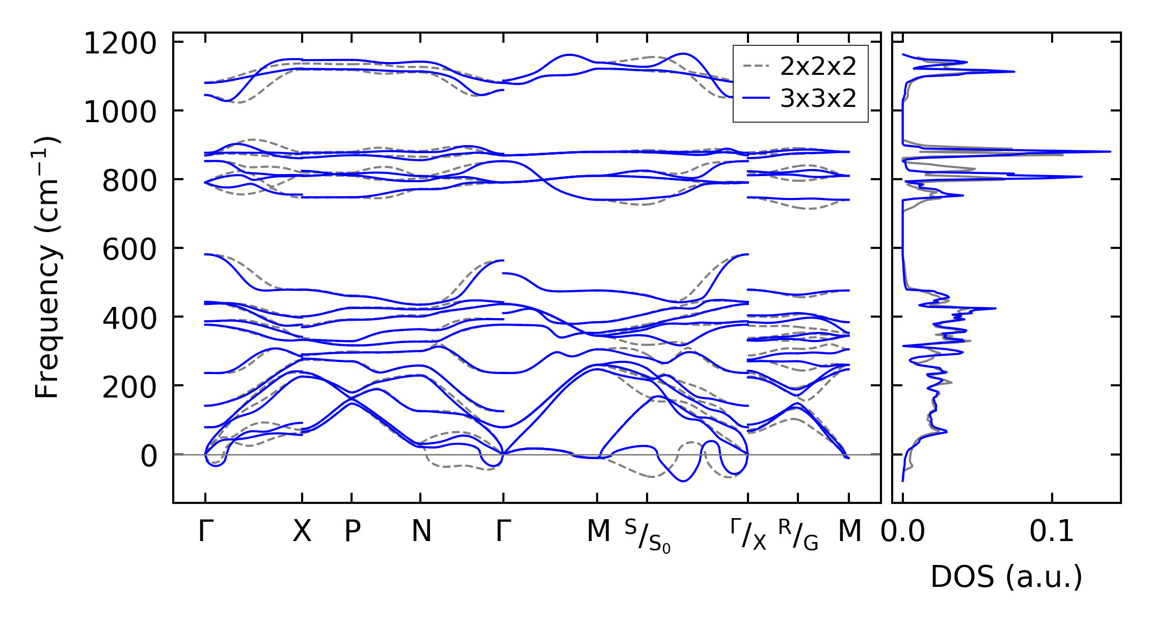
Harmonic properties

../../_images/fig_bandos_pr3555.png

(a) Phonon dispersion with participation ratio and DOS

../../_images/fig_bandos4770.png

(b) Phonon dispersion and DOS

../../_images/fig_thermo3555.png

(c) Thermodynamic properties

Force constants

../../_images/fig_fc23373.png

(a) Force constants w.r.t atomic distance

Summary

../../_images/fig_times6196.png

(a) Computation time