mp-754283/HoHO2/anharm

Harmonic properties

../../_images/fig_bandos_pr3834.png

(a) Phonon dispersion with participation ratio and DOS

../../_images/fig_bandos5085.png

(b) Phonon dispersion and DOS

../../_images/fig_thermo3834.png

(c) Thermodynamic properties

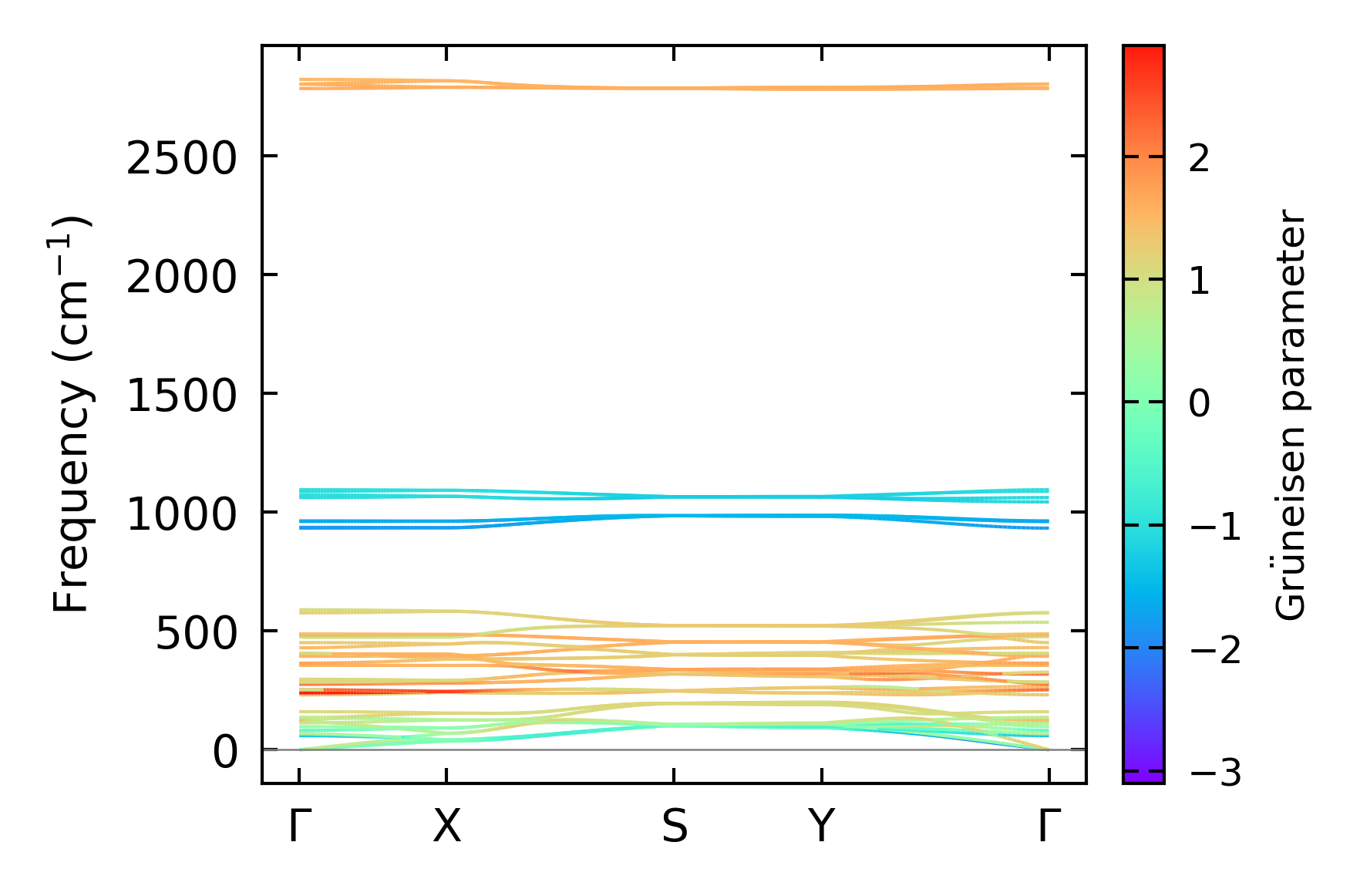
Grüneisen parameters

../../_images/fig_gru_all1731.png

(a) Grüneisen parameters

../../_images/fig_gruneisen1731.png

(b) Phonon dispersion with Grüneisen parameters

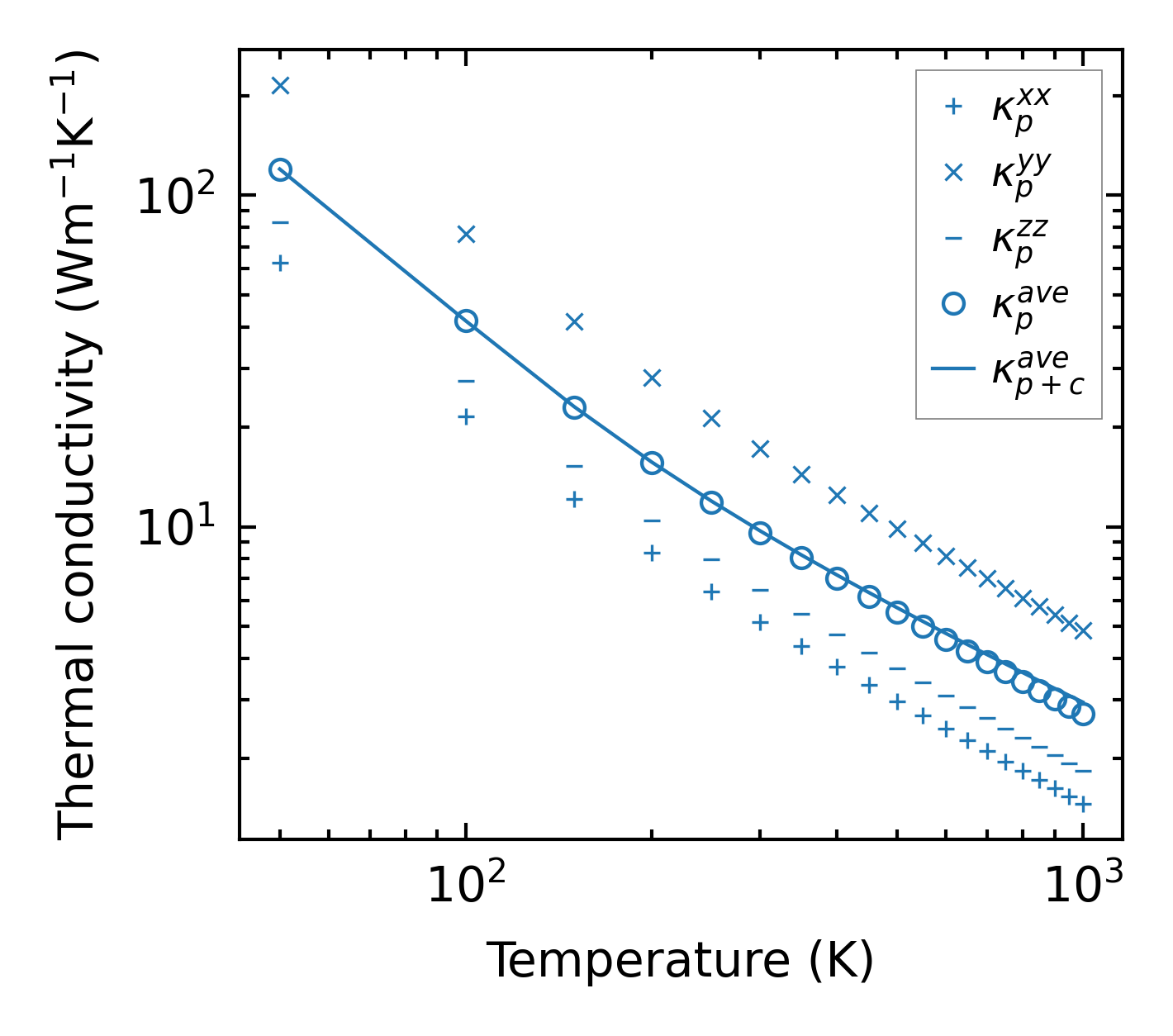
Thermal conductivity

3-phonon (LASSO) — q-mesh: 6x20x14, supercell: 1x3x3

../../_images/fig_kappa3328.png

(a) Temperature-dependent lattice thermal conductivity

../../_images/fig_kappa_vs_grain_size1756.png

(b) Peierls lattice thermal conductivity w.r.t grain size

Phonon lifetime and scattering rates

../../_images/fig_lifetime1721.png

(a) Phonon lifetime due to phonon-phonon scattering

../../_images/fig_scat_rates1720.png

(b) Phonon scattering rates

Cumulative and spectral thermal conductivity

../../_images/fig_cumu_frequency1721.png

(a) Spectral and cumulative thermal conductivity w.r.t frequency

../../_images/fig_cumu_mfp1721.png

(b) Spectral and cumulative thermal conductivity w.r.t MFP

Force constants

../../_images/fig_fc23648.png

(a) Force constants w.r.t atomic distance

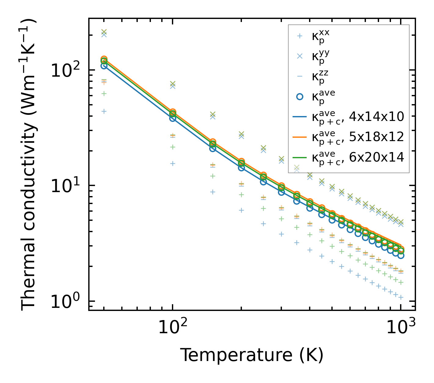
Summary

../../_images/fig_kappa3329.png

(a) Temperature-dependent lattice thermal conductivity

../../_images/fig_times6630.png

(b) Computation time