mp-754004/TmHO2/anharm

Harmonic properties

../../_images/fig_bandos_pr3778.png

(a) Phonon dispersion with participation ratio and DOS

../../_images/fig_bandos5031.png

(b) Phonon dispersion and DOS

../../_images/fig_thermo3778.png

(c) Thermodynamic properties

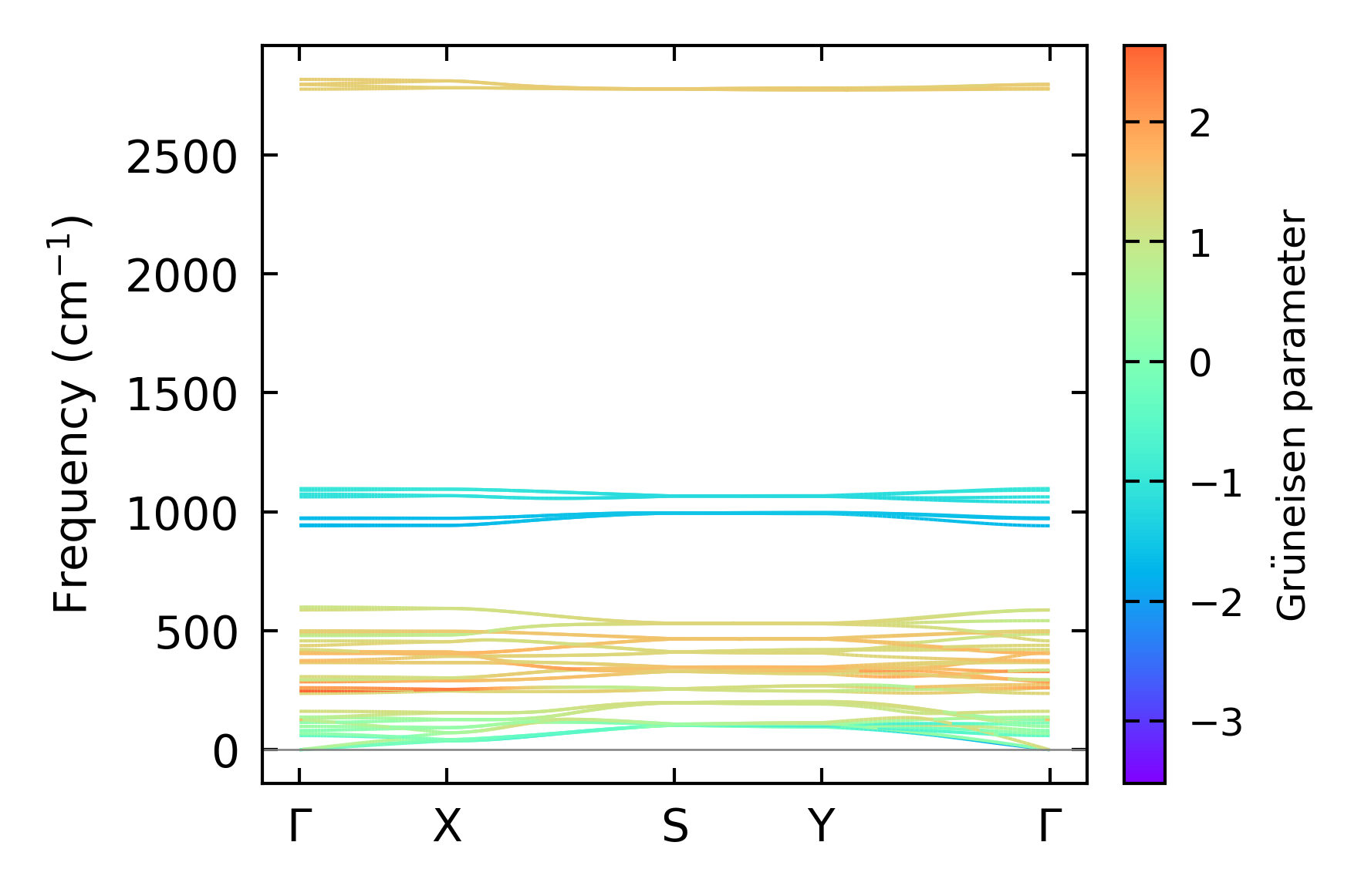
Grüneisen parameters

../../_images/fig_gru_all1699.png

(a) Grüneisen parameters

../../_images/fig_gruneisen1699.png

(b) Phonon dispersion with Grüneisen parameters

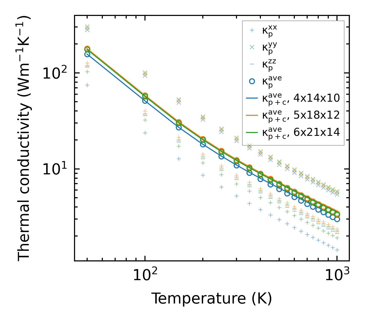
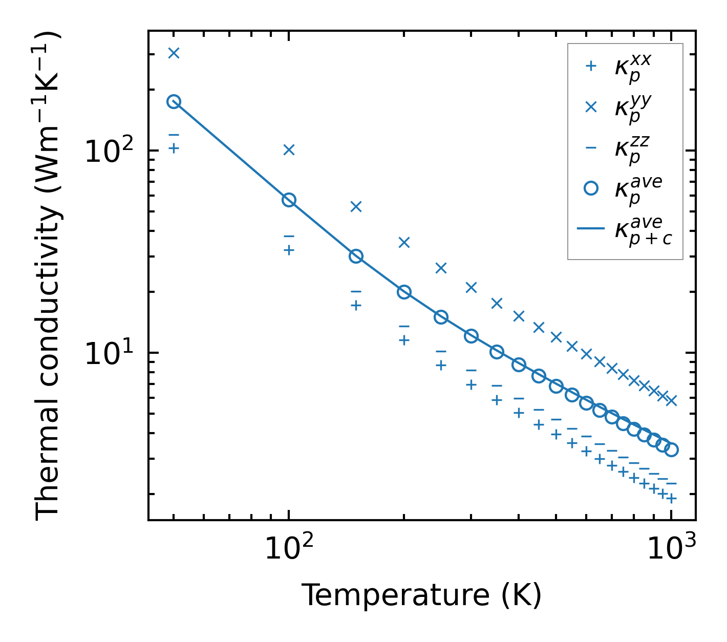
Thermal conductivity

3-phonon (LASSO) — q-mesh: 6x21x14, supercell: 1x3x3

../../_images/fig_kappa3266.png

(a) Temperature-dependent lattice thermal conductivity

../../_images/fig_kappa_vs_grain_size1723.png

(b) Peierls lattice thermal conductivity w.r.t grain size

Phonon lifetime and scattering rates

../../_images/fig_lifetime1689.png

(a) Phonon lifetime due to phonon-phonon scattering

../../_images/fig_scat_rates1688.png

(b) Phonon scattering rates

Cumulative and spectral thermal conductivity

../../_images/fig_cumu_frequency1689.png

(a) Spectral and cumulative thermal conductivity w.r.t frequency

../../_images/fig_cumu_mfp1689.png

(b) Spectral and cumulative thermal conductivity w.r.t MFP

Force constants

../../_images/fig_fc23593.png

(a) Force constants w.r.t atomic distance

Summary

../../_images/fig_kappa3267.png

(a) Temperature-dependent lattice thermal conductivity

../../_images/fig_times6548.png

(b) Computation time