mp-571666-2/CsLi3Cl4/anharm

Equation of state

../../_images/fig_bm3583.png

(a) Equation of state

Harmonic properties

../../_images/fig_bandos_pr6687.png

(a) Phonon dispersion with participation ratio and DOS

../../_images/fig_thermo6687.png

(b) Thermodynamic properties

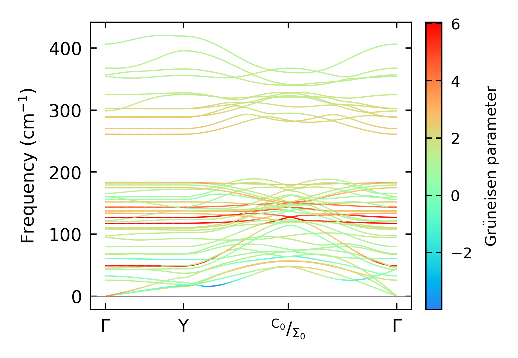
Grüneisen parameters

../../_images/fig_gru_all2730.png

(a) Grüneisen parameters

../../_images/fig_gruneisen2730.png

(b) Phonon dispersion with Grüneisen parameters

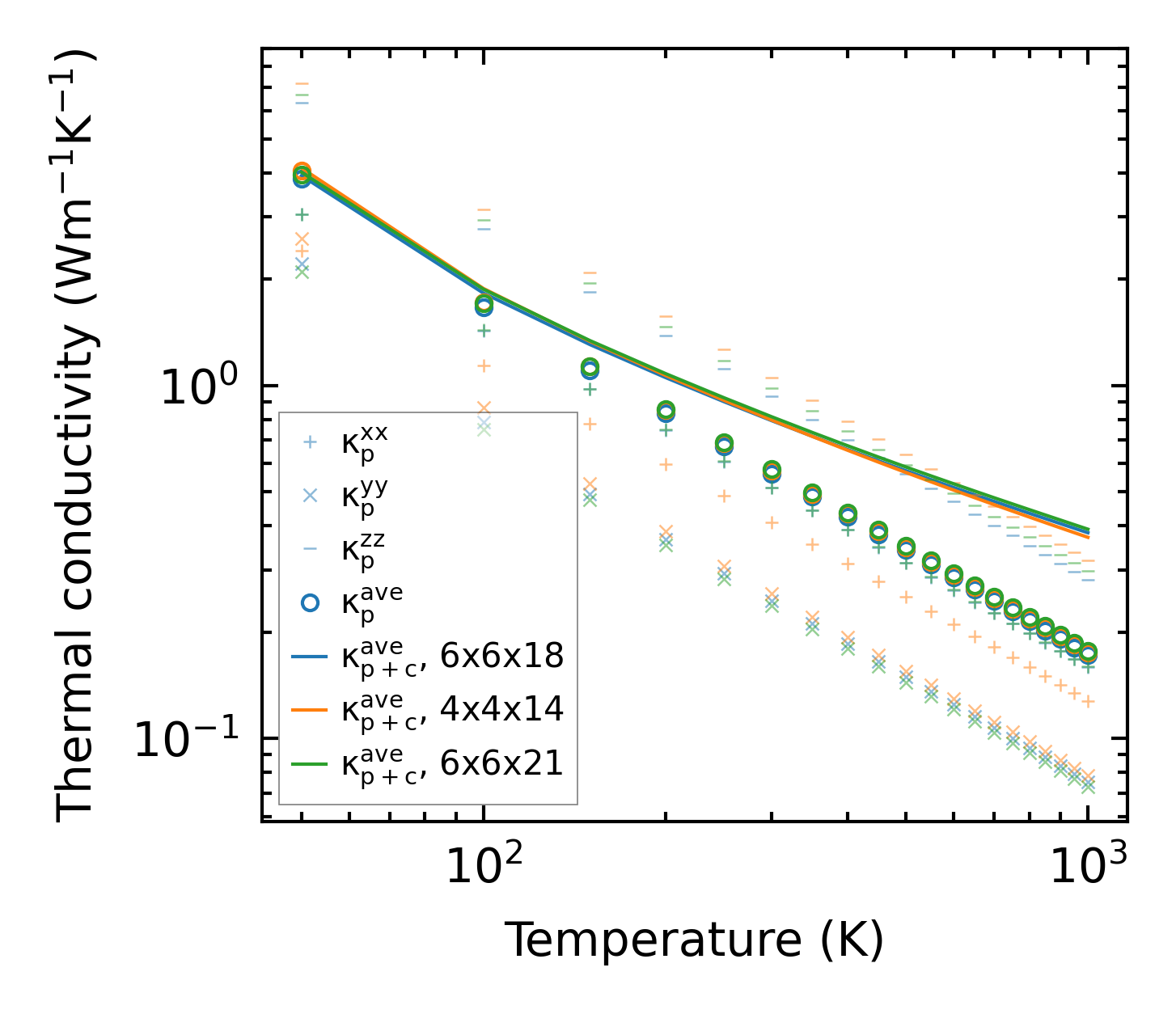
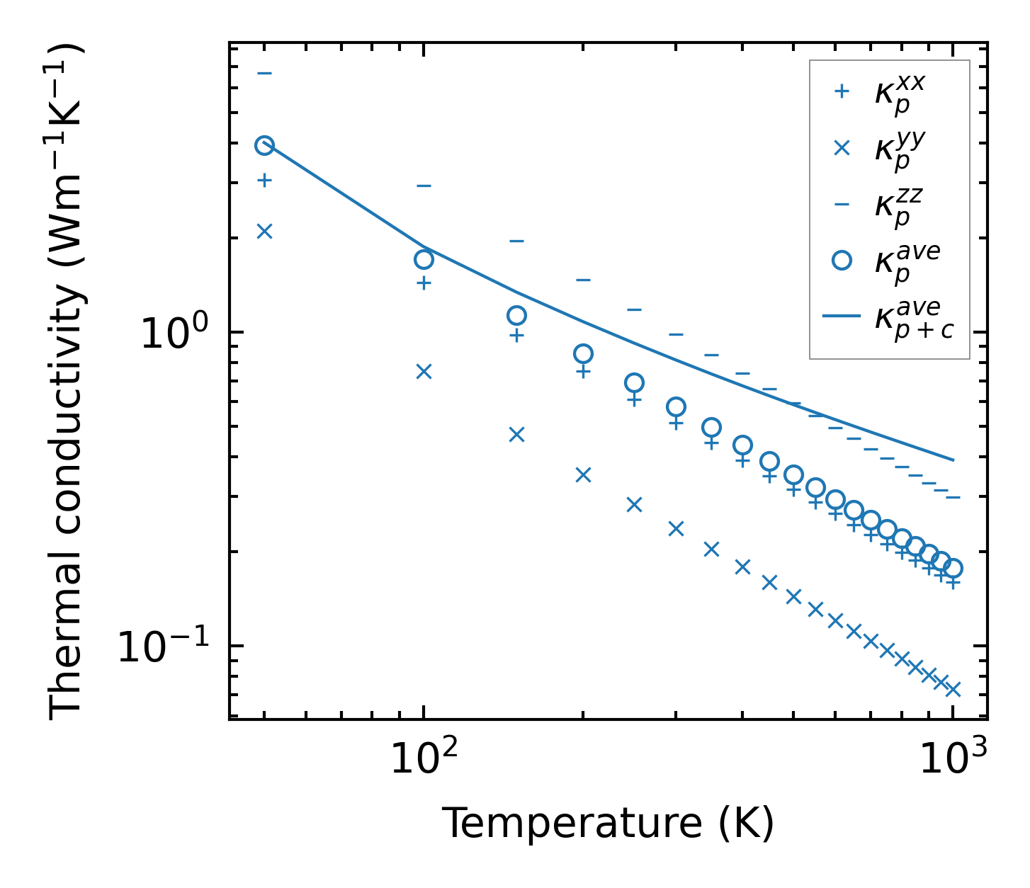
Thermal conductivity

3-phonon (LASSO) — q-mesh: 6x6x21, supercell: 2x1x2

../../_images/fig_kappa5189.png

(a) Temperature-dependent lattice thermal conductivity

../../_images/fig_kappa_vs_grain_size2771.png

(b) Peierls lattice thermal conductivity w.r.t grain size

Phonon lifetime and scattering rates

../../_images/fig_lifetime2706.png

(a) Phonon lifetime due to phonon-phonon scattering

../../_images/fig_scat_rates2705.png

(b) Phonon scattering rates

Cumulative and spectral thermal conductivity

../../_images/fig_cumu_frequency2706.png

(a) Spectral and cumulative thermal conductivity w.r.t frequency

../../_images/fig_cumu_mfp2705.png

(b) Spectral and cumulative thermal conductivity w.r.t MFP

Force constants

../../_images/fig_fc26477.png

(a) Force constants w.r.t atomic distance

Summary

../../_images/fig_kappa5190.png

(a) Temperature-dependent lattice thermal conductivity

../../_images/fig_times11996.png

(b) Computation time