mp-571642-2/CaCl2/anharm

Equation of state

../../_images/fig_bm3581.png

(a) Equation of state

Harmonic properties

../../_images/fig_bandos_pr6684.png

(a) Phonon dispersion with participation ratio and DOS

../../_images/fig_thermo6684.png

(b) Thermodynamic properties

Grüneisen parameters

../../_images/fig_gru_all2727.png

(a) Grüneisen parameters

../../_images/fig_gruneisen2727.png

(b) Phonon dispersion with Grüneisen parameters

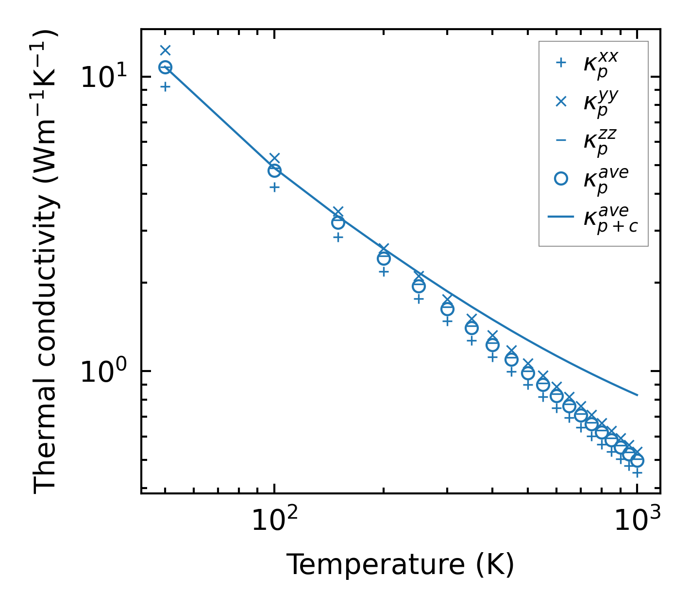
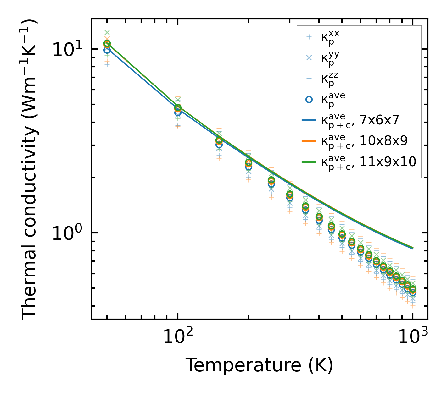
Thermal conductivity

3-phonon (LASSO) — q-mesh: 11x9x10, supercell: 3x2x2

../../_images/fig_kappa5184.png

(a) Temperature-dependent lattice thermal conductivity

../../_images/fig_kappa_vs_grain_size2768.png

(b) Peierls lattice thermal conductivity w.r.t grain size

Phonon lifetime and scattering rates

../../_images/fig_lifetime2703.png

(a) Phonon lifetime due to phonon-phonon scattering

../../_images/fig_scat_rates2702.png

(b) Phonon scattering rates

Cumulative and spectral thermal conductivity

../../_images/fig_cumu_frequency2703.png

(a) Spectral and cumulative thermal conductivity w.r.t frequency

../../_images/fig_cumu_mfp2702.png

(b) Spectral and cumulative thermal conductivity w.r.t MFP

Force constants

../../_images/fig_fc26474.png

(a) Force constants w.r.t atomic distance

Summary

../../_images/fig_kappa5185.png

(a) Temperature-dependent lattice thermal conductivity

../../_images/fig_times11991.png

(b) Computation time