mp-571020/CsMgH3/anharm

Harmonic properties

../../_images/fig_bandos_pr6889.png

(a) Phonon dispersion with participation ratio and DOS

../../_images/fig_thermo6889.png

(b) Thermodynamic properties

Grüneisen parameters

../../_images/fig_gru_all2846.png

(a) Grüneisen parameters

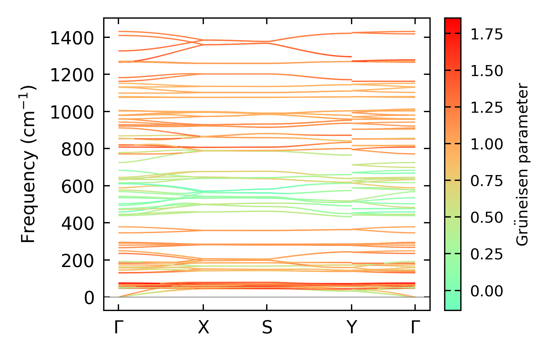
../../_images/fig_gruneisen2846.png

(b) Phonon dispersion with Grüneisen parameters

Thermal conductivity

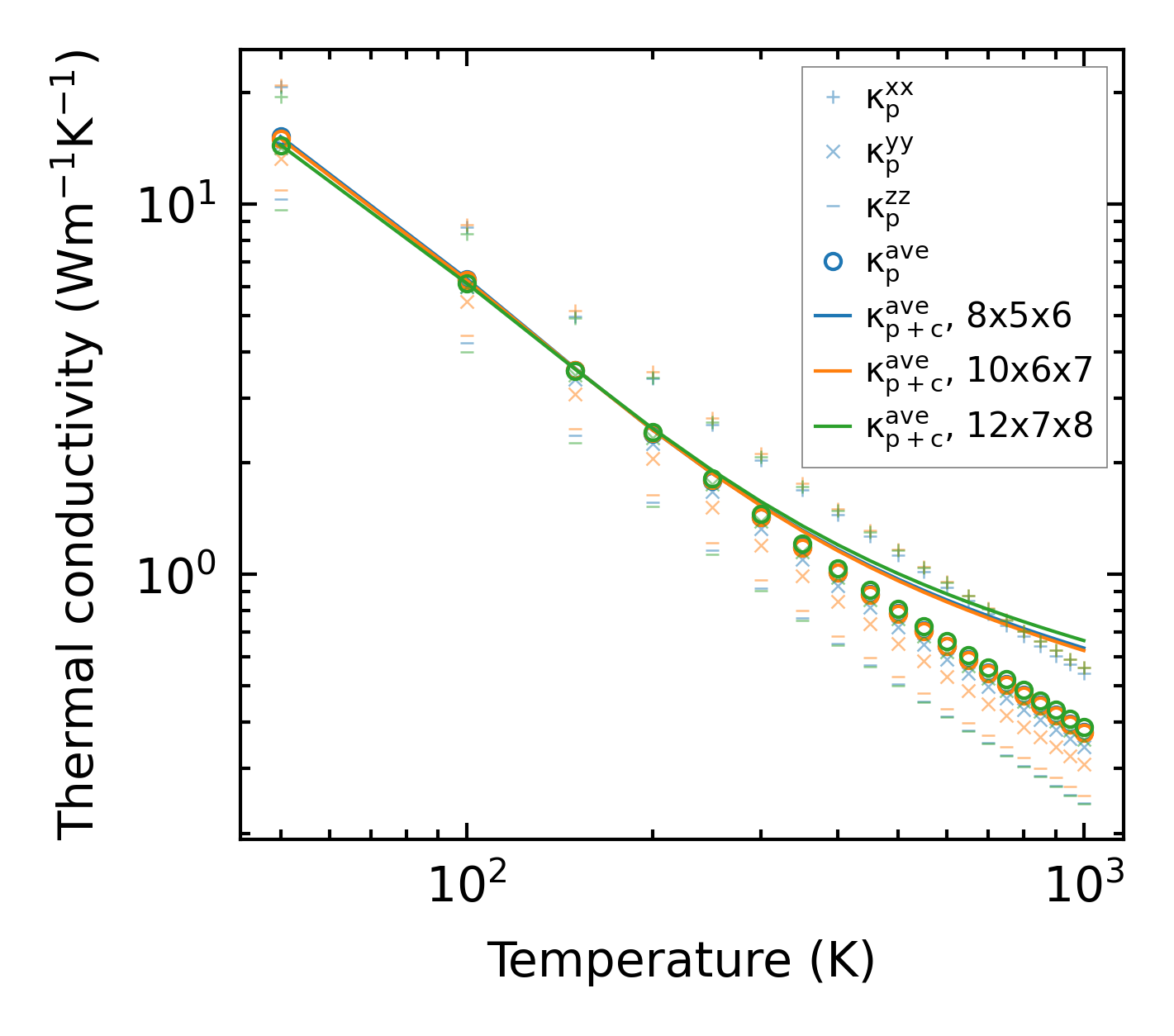
3-phonon (LASSO) — q-mesh: 12x7x8, supercell: 2x1x2

../../_images/fig_kappa5402.png

(a) Temperature-dependent lattice thermal conductivity

../../_images/fig_kappa_vs_grain_size2887.png

(b) Peierls lattice thermal conductivity w.r.t grain size

Phonon lifetime and scattering rates

../../_images/fig_lifetime2822.png

(a) Phonon lifetime due to phonon-phonon scattering

../../_images/fig_scat_rates2821.png

(b) Phonon scattering rates

Cumulative and spectral thermal conductivity

../../_images/fig_cumu_frequency2822.png

(a) Spectral and cumulative thermal conductivity w.r.t frequency

../../_images/fig_cumu_mfp2821.png

(b) Spectral and cumulative thermal conductivity w.r.t MFP

Force constants

../../_images/fig_fc26670.png

(a) Force constants w.r.t atomic distance

Summary

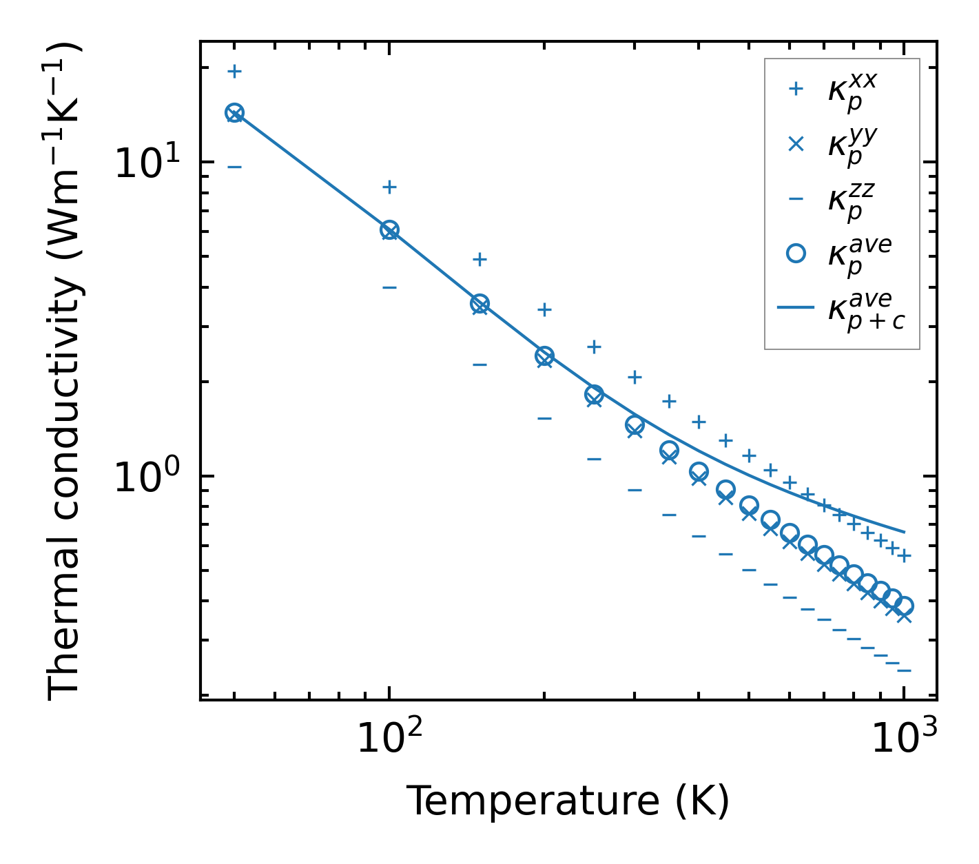
../../_images/fig_kappa5403.png

(a) Temperature-dependent lattice thermal conductivity

../../_images/fig_times12358.png

(b) Computation time